Abstract:Fine-tuning has become the standard practice for adapting pre-trained (upstream) models to downstream tasks. However, the impact on model robustness is not well understood. In this work, we characterize the robustness-accuracy trade-off in fine-tuning. We evaluate the robustness and accuracy of fine-tuned models over 6 benchmark datasets and 7 different fine-tuning strategies. We observe a consistent trade-off between adversarial robustness and accuracy. Peripheral updates such as BitFit are more effective for simple tasks--over 75% above the average measured with area under the Pareto frontiers on CIFAR-10 and CIFAR-100. In contrast, fine-tuning information-heavy layers, such as attention layers via Compacter, achieves a better Pareto frontier on more complex tasks--57.5% and 34.6% above the average on Caltech-256 and CUB-200, respectively. Lastly, we observe that robustness of fine-tuning against out-of-distribution data closely tracks accuracy. These insights emphasize the need for robustness-aware fine-tuning to ensure reliable real-world deployments.
Abstract:Representational alignment refers to the extent to which a model's internal representations mirror biological vision, offering insights into both neural similarity and functional correspondence. Recently, some more aligned models have demonstrated higher resiliency to adversarial examples, raising the question of whether more human-aligned models are inherently more secure. In this work, we conduct a large-scale empirical analysis to systematically investigate the relationship between representational alignment and adversarial robustness. We evaluate 118 models spanning diverse architectures and training paradigms, measuring their neural and behavioral alignment and engineering task performance across 106 benchmarks as well as their adversarial robustness via AutoAttack. Our findings reveal that while average alignment and robustness exhibit a weak overall correlation, specific alignment benchmarks serve as strong predictors of adversarial robustness, particularly those that measure selectivity towards texture or shape. These results suggest that different forms of alignment play distinct roles in model robustness, motivating further investigation into how alignment-driven approaches can be leveraged to build more secure and perceptually-grounded vision models.




Abstract:Bias significantly undermines both the accuracy and trustworthiness of machine learning models. To date, one of the strongest biases observed in image classification models is texture bias-where models overly rely on texture information rather than shape information. Yet, existing approaches for measuring and mitigating texture bias have not been able to capture how textures impact model robustness in real-world settings. In this work, we introduce the Texture Association Value (TAV), a novel metric that quantifies how strongly models rely on the presence of specific textures when classifying objects. Leveraging TAV, we demonstrate that model accuracy and robustness are heavily influenced by texture. Our results show that texture bias explains the existence of natural adversarial examples, where over 90% of these samples contain textures that are misaligned with the learned texture of their true label, resulting in confident mispredictions.




Abstract:The influence of textures on machine learning models has been an ongoing investigation, specifically in texture bias/learning, interpretability, and robustness. However, due to the lack of large and diverse texture data available, the findings in these works have been limited, as more comprehensive evaluations have not been feasible. Image generative models are able to provide data creation at scale, but utilizing these models for texture synthesis has been unexplored and poses additional challenges both in creating accurate texture images and validating those images. In this work, we introduce an extensible methodology and corresponding new dataset for generating high-quality, diverse texture images capable of supporting a broad set of texture-based tasks. Our pipeline consists of: (1) developing prompts from a range of descriptors to serve as input to text-to-image models, (2) adopting and adapting Stable Diffusion pipelines to generate and filter the corresponding images, and (3) further filtering down to the highest quality images. Through this, we create the Prompted Textures Dataset (PTD), a dataset of 362,880 texture images that span 56 textures. During the process of generating images, we find that NSFW safety filters in image generation pipelines are highly sensitive to texture (and flag up to 60\% of our texture images), uncovering a potential bias in these models and presenting unique challenges when working with texture data. Through both standard metrics and a human evaluation, we find that our dataset is high quality and diverse.
Abstract:In this work, we investigate \textit{texture learning}: the identification of textures learned by object classification models, and the extent to which they rely on these textures. We build texture-object associations that uncover new insights about the relationships between texture and object classes in CNNs and find three classes of results: associations that are strong and expected, strong and not expected, and expected but not present. Our analysis demonstrates that investigations in texture learning enable new methods for interpretability and have the potential to uncover unexpected biases.




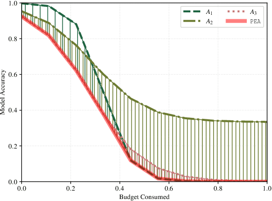
Abstract:Adversarial examples, inputs designed to induce worst-case behavior in machine learning models, have been extensively studied over the past decade. Yet, our understanding of this phenomenon stems from a rather fragmented pool of knowledge; at present, there are a handful of attacks, each with disparate assumptions in threat models and incomparable definitions of optimality. In this paper, we propose a systematic approach to characterize worst-case (i.e., optimal) adversaries. We first introduce an extensible decomposition of attacks in adversarial machine learning by atomizing attack components into surfaces and travelers. With our decomposition, we enumerate over components to create 576 attacks (568 of which were previously unexplored). Next, we propose the Pareto Ensemble Attack (PEA): a theoretical attack that upper-bounds attack performance. With our new attacks, we measure performance relative to the PEA on: both robust and non-robust models, seven datasets, and three extended lp-based threat models incorporating compute costs, formalizing the Space of Adversarial Strategies. From our evaluation we find that attack performance to be highly contextual: the domain, model robustness, and threat model can have a profound influence on attack efficacy. Our investigation suggests that future studies measuring the security of machine learning should: (1) be contextualized to the domain & threat models, and (2) go beyond the handful of known attacks used today.




Abstract:Machine learning is vulnerable to adversarial examples-inputs designed to cause models to perform poorly. However, it is unclear if adversarial examples represent realistic inputs in the modeled domains. Diverse domains such as networks and phishing have domain constraints-complex relationships between features that an adversary must satisfy for an attack to be realized (in addition to any adversary-specific goals). In this paper, we explore how domain constraints limit adversarial capabilities and how adversaries can adapt their strategies to create realistic (constraint-compliant) examples. In this, we develop techniques to learn domain constraints from data, and show how the learned constraints can be integrated into the adversarial crafting process. We evaluate the efficacy of our approach in network intrusion and phishing datasets and find: (1) up to 82% of adversarial examples produced by state-of-the-art crafting algorithms violate domain constraints, (2) domain constraints are robust to adversarial examples; enforcing constraints yields an increase in model accuracy by up to 34%. We observe not only that adversaries must alter inputs to satisfy domain constraints, but that these constraints make the generation of valid adversarial examples far more challenging.