



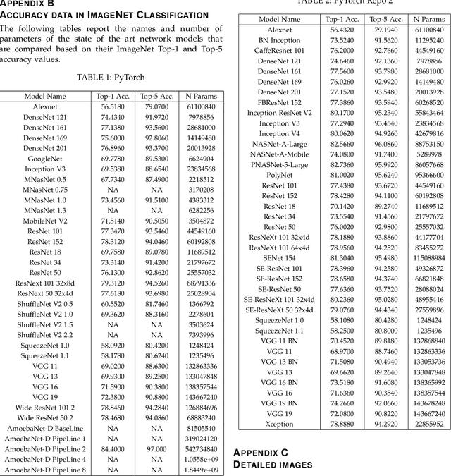
Abstract:We present a new framework to measure the intrinsic properties of (deep) neural networks. While we focus on convolutional networks, our framework can be extrapolated to any network architecture. In particular, we evaluate two network properties, namely, capacity (related to expressivity) and compression, both of which depend only on the network structure and are independent of the training and test data. To this end, we propose two metrics: the first one, called layer complexity, captures the architectural complexity of any network layer; and, the second one, called layer intrinsic power, encodes how data is compressed along the network. The metrics are based on the concept of layer algebra, which is also introduced in this paper. This concept is based on the idea that the global properties depend on the network topology, and the leaf nodes of any neural network can be approximated using local transfer functions, thereby, allowing a simple computation of the global metrics. We also compare the properties of the state-of-the art architectures using our metrics and use the properties to analyze the classification accuracy on benchmark datasets.





Abstract:Many task domains require robots to interpret and act upon natural language commands which are given by people and which refer to the robot's physical surroundings. Such interpretation is known variously as the symbol grounding problem, grounded semantics and grounded language acquisition. This problem is challenging because people employ diverse vocabulary and grammar, and because robots have substantial uncertainty about the nature and contents of their surroundings, making it difficult to associate the constitutive language elements (principally noun phrases and spatial relations) of the command text to elements of those surroundings. Symbolic models capture linguistic structure but have not scaled successfully to handle the diverse language produced by untrained users. Existing statistical approaches can better handle diversity, but have not to date modeled complex linguistic structure, limiting achievable accuracy. Recent hybrid approaches have addressed limitations in scaling and complexity, but have not effectively associated linguistic and perceptual features. Our framework, called Generalized Grounding Graphs (G^3), addresses these issues by defining a probabilistic graphical model dynamically according to the linguistic parse structure of a natural language command. This approach scales effectively, handles linguistic diversity, and enables the system to associate parts of a command with the specific objects, places, and events in the external world to which they refer. We show that robots can learn word meanings and use those learned meanings to robustly follow natural language commands produced by untrained users. We demonstrate our approach for both mobility commands and mobile manipulation commands involving a variety of semi-autonomous robotic platforms, including a wheelchair, a micro-air vehicle, a forklift, and the Willow Garage PR2.
