Abstract:Coreset selection targets the challenge of finding a small, representative subset of a large dataset that preserves essential patterns for effective machine learning. Although several surveys have examined data reduction strategies before, most focus narrowly on either classical geometry-based methods or active learning techniques. In contrast, this survey presents a more comprehensive view by unifying three major lines of coreset research, namely, training-free, training-oriented, and label-free approaches, into a single taxonomy. We present subfields often overlooked by existing work, including submodular formulations, bilevel optimization, and recent progress in pseudo-labeling for unlabeled datasets. Additionally, we examine how pruning strategies influence generalization and neural scaling laws, offering new insights that are absent from prior reviews. Finally, we compare these methods under varying computational, robustness, and performance demands and highlight open challenges, such as robustness, outlier filtering, and adapting coreset selection to foundation models, for future research.




Abstract:Diffusion models, known for their generative capabilities, have recently shown unexpected potential in image classification tasks by using Bayes' theorem. However, most diffusion classifiers require evaluating all class labels for a single classification, leading to significant computational costs that can hinder their application in large-scale scenarios. To address this, we present a Hierarchical Diffusion Classifier (HDC) that exploits the inherent hierarchical label structure of a dataset. By progressively pruning irrelevant high-level categories and refining predictions only within relevant subcategories, i.e., leaf nodes, HDC reduces the total number of class evaluations. As a result, HDC can accelerate inference by up to 60% while maintaining and, in some cases, improving classification accuracy. Our work enables a new control mechanism of the trade-off between speed and precision, making diffusion-based classification more viable for real-world applications, particularly in large-scale image classification tasks.




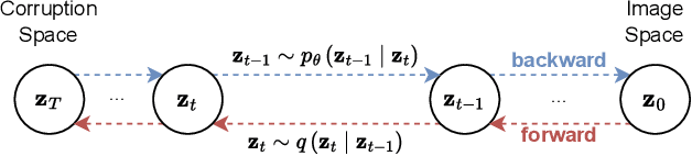
Abstract:Diffusion Models (DMs) represent a significant advancement in image Super-Resolution (SR), aligning technical image quality more closely with human preferences and expanding SR applications. DMs address critical limitations of previous methods, enhancing overall realism and details in SR images. However, DMs suffer from color-shifting issues, and their high computational costs call for efficient sampling alternatives, underscoring the challenge of balancing computational efficiency and image quality. This survey gives an overview of DMs applied to image SR and offers a detailed analysis that underscores the unique characteristics and methodologies within this domain, distinct from broader existing reviews in the field. It presents a unified view of DM fundamentals and explores research directions, including alternative input domains, conditioning strategies, guidance, corruption spaces, and zero-shot methods. This survey provides insights into the evolution of image SR with DMs, addressing current trends, challenges, and future directions in this rapidly evolving field.