Abstract:Convex Markov Games (cMGs) were recently introduced as a broad class of multi-agent learning problems that generalize Markov games to settings where strategic agents optimize general utilities beyond additive rewards. While cMGs expand the modeling frontier, their theoretical foundations, particularly the structure of Nash equilibria (NE) and guarantees for learning algorithms, are not yet well understood. In this work, we address these gaps for an extension of cMGs, which we term General Utility Markov Games (GUMGs), capturing new applications requiring coupling between agents' occupancy measures. We prove that in GUMGs, Nash equilibria coincide with the fixed points of projected pseudo-gradient dynamics (i.e., first-order stationary points), enabled by a novel agent-wise gradient domination property. This insight also yields a simple proof of NE existence using Brouwer's fixed-point theorem. We further show the existence of Markov perfect equilibria. Building on this characterization, we establish a policy gradient theorem for GUMGs and design a model-free policy gradient algorithm. For potential GUMGs, we establish iteration complexity guarantees for computing approximate-NE under exact gradients and provide sample complexity bounds in both the generative model and on-policy settings. Our results extend beyond prior work restricted to zero-sum cMGs, providing the first theoretical analysis of common-interest cMGs.
Abstract:Multi-agent control problems involving a large number of agents with competing and time-varying objectives are increasingly prevalent in applications across robotics, economics, and energy systems. In this paper, we study online control in multi-agent linear dynamical systems with disturbances. In contrast to most prior work in multi-agent control, we consider an online setting where disturbances are adversarial and where each agent seeks to minimize its own, adversarial sequence of convex losses. In this setting, we investigate the robustness of gradient-based controllers from single-agent online control, with a particular focus on understanding how individual regret guarantees are influenced by the number of agents in the system. Under minimal communication assumptions, we prove near-optimal sublinear regret bounds that hold uniformly for all agents. Finally, when the objectives of the agents are aligned, we show that the multi-agent control problem induces a time-varying potential game for which we derive equilibrium gap guarantees.


Abstract:Optimistic online learning algorithms have led to significant advances in equilibrium computation, particularly for two-player zero-sum games, achieving an iteration complexity of $\mathcal{O}(1/\epsilon)$ to reach an $\epsilon$-saddle point. These advances have been established in normal-form games, where strategies are simplex vectors, and quantum games, where strategies are trace-one positive semidefinite matrices. We extend optimistic learning to symmetric cone games (SCGs), a class of two-player zero-sum games where strategy spaces are generalized simplices (trace-one slices of symmetric cones). A symmetric cone is the cone of squares of a Euclidean Jordan Algebra; canonical examples include the nonnegative orthant, the second-order cone, the cone of positive semidefinite matrices, and their products, all fundamental to convex optimization. SCGs unify normal-form and quantum games and, as we show, offer significantly greater modeling flexibility, allowing us to model applications such as distance metric learning problems and the Fermat-Weber problem. To compute approximate saddle points in SCGs, we introduce the Optimistic Symmetric Cone Multiplicative Weights Update algorithm and establish an iteration complexity of $\mathcal{O}(1/\epsilon)$ to reach an $\epsilon$-saddle point. Our analysis builds on the Optimistic Follow-the-Regularized-Leader framework, with a key technical contribution being a new proof of the strong convexity of the symmetric cone negative entropy with respect to the trace-one norm, a result that may be of independent interest.




Abstract:Decentralized learning algorithms are an essential tool for designing multi-agent systems, as they enable agents to autonomously learn from their experience and past interactions. In this work, we propose a theoretical and algorithmic framework for real-time identification of the learning dynamics that govern agent behavior using a short burst of a single system trajectory. Our method identifies agent dynamics through polynomial regression, where we compensate for limited data by incorporating side-information constraints that capture fundamental assumptions or expectations about agent behavior. These constraints are enforced computationally using sum-of-squares optimization, leading to a hierarchy of increasingly better approximations of the true agent dynamics. Extensive experiments demonstrated that our approach, using only 5 samples from a short run of a single trajectory, accurately recovers the true dynamics across various benchmarks, including equilibrium selection and prediction of chaotic systems up to 10 Lyapunov times. These findings suggest that our approach has significant potential to support effective policy and decision-making in strategic multi-agent systems.
Abstract:We study online convex optimization where the possible actions are trace-one elements in a symmetric cone, generalizing the extensively-studied experts setup and its quantum counterpart. Symmetric cones provide a unifying framework for some of the most important optimization models, including linear, second-order cone, and semidefinite optimization. Using tools from the field of Euclidean Jordan Algebras, we introduce the Symmetric-Cone Multiplicative Weights Update (SCMWU), a projection-free algorithm for online optimization over the trace-one slice of an arbitrary symmetric cone. We show that SCMWU is equivalent to Follow-the-Regularized-Leader and Online Mirror Descent with symmetric-cone negative entropy as regularizer. Using this structural result we show that SCMWU is a no-regret algorithm, and verify our theoretical results with extensive experiments. Our results unify and generalize the analysis for the Multiplicative Weights Update method over the probability simplex and the Matrix Multiplicative Weights Update method over the set of density matrices.




Abstract:Given a matrix $X\in \mathbb{R}^{m\times n}_+$ with non-negative entries, the cone factorization problem over a cone $\mathcal{K}\subseteq \mathbb{R}^k$ concerns computing $\{ a_1,\ldots, a_{m} \} \subseteq \mathcal{K}$ and $\{ b_1,\ldots, b_{n} \} \subseteq~\mathcal{K}^*$ belonging to its dual so that $X_{ij} = \langle a_i, b_j \rangle$ for all $i\in [m], j\in [n]$. Cone factorizations are fundamental to mathematical optimization as they allow us to express convex bodies as feasible regions of linear conic programs. In this paper, we introduce and analyze the symmetric-cone multiplicative update (SCMU) algorithm for computing cone factorizations when $\mathcal{K}$ is symmetric; i.e., it is self-dual and homogeneous. Symmetric cones are of central interest in mathematical optimization as they provide a common language for studying linear optimization over the nonnegative orthant (linear programs), over the second-order cone (second order cone programs), and over the cone of positive semidefinite matrices (semidefinite programs). The SCMU algorithm is multiplicative in the sense that the iterates are updated by applying a meticulously chosen automorphism of the cone computed using a generalization of the geometric mean to symmetric cones. Using an extension of Lieb's concavity theorem and von Neumann's trace inequality to symmetric cones, we show that the squared loss objective is non-decreasing along the trajectories of the SCMU algorithm. Specialized to the nonnegative orthant, the SCMU algorithm corresponds to the seminal algorithm by Lee and Seung for computing Nonnegative Matrix Factorizations.




Abstract:Given a matrix $X\in \mathbb{R}_+^{m\times n}$ with nonnegative entries, a Positive Semidefinite (PSD) factorization of $X$ is a collection of $r \times r$-dimensional PSD matrices $\{A_i\}$ and $\{B_j\}$ satisfying $X_{ij}= \mathrm{tr}(A_i B_j)$ for all $\ i\in [m],\ j\in [n]$. PSD factorizations are fundamentally linked to understanding the expressiveness of semidefinite programs as well as the power and limitations of quantum resources in information theory. The PSD factorization task generalizes the Non-negative Matrix Factorization (NMF) problem where we seek a collection of $r$-dimensional nonnegative vectors $\{a_i\}$ and $\{b_j\}$ satisfying $X_{ij}= a_i^\top b_j$, for all $i\in [m],\ j\in [n]$ -- one can recover the latter problem by choosing matrices in the PSD factorization to be diagonal. The most widely used algorithm for computing NMFs of a matrix is the Multiplicative Update algorithm developed by Lee and Seung, in which nonnegativity of the updates is preserved by scaling with positive diagonal matrices. In this paper, we describe a non-commutative extension of Lee-Seung's algorithm, which we call the Matrix Multiplicative Update (MMU) algorithm, for computing PSD factorizations. The MMU algorithm ensures that updates remain PSD by congruence scaling with the matrix geometric mean of appropriate PSD matrices, and it retains the simplicity of implementation that Lee-Seung's algorithm enjoys. Building on the Majorization-Minimization framework, we show that under our update scheme the squared loss objective is non-increasing and fixed points correspond to critical points. The analysis relies on Lieb's Concavity Theorem. Beyond PSD factorizations, we use the MMU algorithm as a primitive to calculate block-diagonal PSD factorizations and tensor PSD factorizations. We demonstrate the utility of our method with experiments on real and synthetic data.


Abstract:Non-negative matrix factorization (NMF) is a fundamental non-convex optimization problem with numerous applications in Machine Learning (music analysis, document clustering, speech-source separation etc). Despite having received extensive study, it is poorly understood whether or not there exist natural algorithms that can provably converge to a local minimum. Part of the reason is because the objective is heavily symmetric and its gradient is not Lipschitz. In this paper we define a multiplicative weight update type dynamics (modification of the seminal Lee-Seung algorithm) that runs concurrently and provably avoids saddle points (first order stationary points that are not second order). Our techniques combine tools from dynamical systems such as stability and exploit the geometry of the NMF objective by reducing the standard NMF formulation over the non-negative orthant to a new formulation over (a scaled) simplex. An important advantage of our method is the use of concurrent updates, which permits implementations in parallel computing environments.



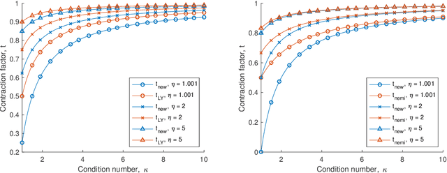
Abstract:In this work, we introduce a new framework for unifying and systematizing the performance analysis of first-order black-box optimization algorithms for unconstrained convex minimization over finite-dimensional Euclidean spaces. The low-cost iteration complexity enjoyed by this class of algorithms renders them particularly relevant for applications in machine learning and large-scale data analysis. However, existing proofs of convergence of such optimization algorithms consist mostly of ad-hoc arguments and case-by-case analyses. On the other hand, our approach is based on sum-of-squares optimization and puts forward a promising framework for unifying the convergence {analyses} of optimization algorithms. Illustrating the usefulness of our approach, we recover several known convergence bounds for four widely-used first-order algorithms in a unified manner, and also derive one new convergence result for gradient descent with Armijo-terminated line search.