Abstract:Mid-band spectrum between 2 and 8 GHz is a critical resource for sixth-generation (6G) systems as it uniquely balances favorable propagation characteristics with scalable bandwidth. Recent U.S. policy highlights candidate bands near 2.7, 4.4, and 7.1 GHz, all of which host substantial federal and non-federal incumbency, including high-power radiolocation and aeronautical telemetry systems. Although these segments are being considered for potential relocation of federal incumbents to enable commercial use, their long-term viability depends on the structural integrity of the spectrum. In such environments, the practical value of spectrum depends on the reliability and contiguity of available spectrum opportunities. This paper presents a measurement-driven feasibility analysis of two representative segments, 2.69-2.9 GHz and 4.4-4.94 GHz, using Software-Defined Radio (SDR) measurements collected during Packapalooza campaigns from 2022 to 2025. Deployment-oriented metrics are introduced to quantify scan-window reliability (SWR), altitude-dependent usable spectrum availability ratio (USAR), largest contiguous clean bandwidth (LCCB), spectral fragmentation, and extreme interference excursions. The results reveal significant year-to-year structural variability. In the 2.69-2.9 GHz band, USAR remains near unity in 2022 and 2023, but drops to approximately 0.65 in 2024 and 0.8 in 2025, accompanied by fragmentation and limited contiguous bandwidth across altitudes. The 4.4-4.94 GHz band exhibits a similar temporal pattern, but with smaller reliability degradation and larger contiguous support, often exceeding several hundred megahertz even during incumbent-dominant periods. The results highlight that wideband feasibility in these candidate bands depends strongly on spectral contiguity and structural stability rather than nominal bandwidth alone.
Abstract:The increasing demand for wireless connectivity necessitates advanced spectrum modeling to enable efficient spectrum sharing for next-generation aerial communications. While traditional models often overlook vertical variations in signal behavior, this paper proposes a height-dependent propagation model using a helikite-mounted software-defined radio (SDR). We collected extensive measurement data across the 88 MHz to 6 GHz range in both urban and rural environments. As a case study to validate our methodology, we focus on the FM radio band, which allows us to use publicly available transmitter locations and transmit power levels to facilitate comparisons between analytical with measurement results. We identify a clear transition from non-line-of-sight (NLoS) to line-of-sight (LoS) regimes at a specific altitude threshold and propose an altitude-dependent path loss model that incorporates this transition. Our results demonstrate that the proposed model significantly outperforms the standard free space path loss (FSPL) model in complex urban topologies, providing a more accurate framework for altitude-aware spectrum prediction and management across emerging aerial wireless technologies and bands.
Abstract:As the demand of wireless communication continues to rise, the radio spectrum (a finite resource) requires increasingly efficient utilization. This trend is driving the evolution from static, stand-alone spectrum allocation toward spectrum sharing and dynamic spectrum sharing. A critical element of this transition is spectrum sensing, which facilitates informed decision-making in shared environments. Previous studies on spectrum sensing and cognitive radio have been largely limited to individual sensors or small sensor groups. In this work, a large-scale spectrum sensing network (LarS-Net) is designed in a cost-effective manner. Spectrum sensors are either co-located with base stations (BSs) to share the tower, backhaul, and power infrastructure, or integrated directly into BSs as a new feature leveraging active BS antenna systems. As an example incumbent system, fixed service microwave link operating in the lower-7 GHz band is investigated. This band is a primary candidate for 6G, being considered by the WRC-23, ITU, and FCC. Based on Monte Carlo simulations, we determine the minimum subset of BSs equipped with sensing capability to guarantee a target incumbent detection probability. The simulations account for various sensor antenna configurations, propagation channel models, and duty cycles for both incumbent transmissions and sensing operations. Building on this framework, we introduce three network-level sensing performance metrics: Emission Detection Probability (EDP), Temporal Detection Probability (TDP), and Temporal Mis-detection Probability (TMP), which jointly capture spatial coverage, temporal detectability, and multi-node diversity effects. Using these metrics, we analyze the impact of LarS-Net inter-site distance, noise uncertainty, and sensing duty-cycle on large-scale sensing performance.
Abstract:This paper studies the transferability of altitude-dependent spectrum activity models and measurements across years. We introduce a physics-informed, mean-only stochastic-geometry model of aggregate interference to altitude-binned received power, yielding three interpretable parameters for a given band and campaign: 1) line-of-sight transition slope, 2) transition altitude, and 3) effective activity constant. Analysis of aerial spectrum measurements collected from 2023 to 2025 across multiple sub-6 GHz bands reveals that downlink (DL) and shared-access bands preserve a persistent geometry-driven altitude structure that is stable across years. In contrast, uplink (UL) bands exhibit weak altitude dependence with no identifiable transition, indicating that interference is dominated by activity dynamics rather than propagation geometry. To quantify the practical limits of model reuse, we evaluate a minimal-calibration method in which the transition altitude is fixed from a reference year and the remaining parameters are estimated from only two altitude bins in the target year. The results further indicate that the proposed approach provides accurate predictions for DL and CBRS bands, suggesting the feasibility of low-cost model transfer in stable environments, while highlighting the reduced applicability of mean-field models for UL scenarios.
Abstract:This paper presents a measurement-based framework for characterizing altitude-dependent spectral behavior of signals received by a tethered Helikite unmanned aerial vehicle (UAV). Using a multi-year spectrum measurement campaign in an outdoor urban environment, power spectral density snapshots are collected over the 89 MHz--6 GHz range. Three altitude-dependent spectral metrics are extracted: band-average power, spectral entropy, and spectral sparsity. We introduce the Altitude-Dependent Spectral Structure Model (ADSSM) to characterize the spectral power and entropy using first-order altitude-domain differential equations, and spectral sparsity using a logistic function, yielding closed-form expressions with physically consistent asymptotic behavior. The model is fitted to altitude-binned measurements from three annual campaigns at the AERPAW testbed across six licensed and unlicensed sub-6 GHz bands. Across all bands and years, the ADSSM achieves low root-mean-square error and high coefficients of determination. Results indicate that power transitions occur over narrow low-altitude regions, while entropy and sparsity evolve over broader, band-dependent altitude ranges, demonstrating that altitude-dependent spectrum behavior is inherently multidimensional. By explicitly modeling altitude-dependent transitions in spectral structure beyond received power, the proposed framework enables spectrum-aware UAV sensing and band selection decisions that are not achievable with conventional power- or threshold-based occupancy models.
Abstract:In this paper, we consider an indoor hybrid visible light communication (VLC) and radio frequency (RF) communication scenario with two-hop downlink transmission. The LED carries both data and energy in the first phase, VLC, to an energy harvester relay node, which then uses the harvested energy to re-transmit the decoded information to the RF user in the second phase, RF communication. The direct current (DC) bias and the assigned time duration for VLC transmission are taken into account as design parameters. The optimization problem is formulated to maximize the data rate with the assumption of decode-and-forward relaying for fixed receiver orientation. The non-convex optimization is split into two sub-problems and solved cyclically. It optimizes the data rate by solving two sub-problems: fixing time duration for VLC link to solve DC bias and fixing DC bias to solve time duration. The effect of random receiver orientation on the data rate is also studied, and closed-form expressions for both VLC and RF data rates are derived. The optimization is solved through an exhaustive search, and the results show that a higher data rate can be achieved by solving the joint problem of DC bias and time duration compared to solely optimizing the DC bias.




Abstract:Due to the scarcity of spectrum resources, the emergence of new technologies and ever-increasing number of wireless devices operating in the radio frequency spectrum lead to data congestion and interference. In this work, we study the effect of altitude on sub-6 GHz spectrum measurement results obtained at a Helikite flying over two distinct scenarios; i.e., urban and rural environments. Specifically, we aim at investigating the spectrum occupancy of various long-term evolution (LTE), $5^{\text{th}}$ generation (5G) and citizens broadband radio service (CBRS) bands utilized in the United States for both uplink and downlink at altitudes up to 180 meters. Our results reveal that generally the mean value of the measured power increases as the altitude increases where the line-of-sight links with nearby base stations is more available. SigMF-compliant spectrum measurement datasets used in this paper covering all the bands between 100~MHz to 6~GHz are also provided.




Abstract:The current literature on quantum key distribution (QKD) is mainly limited to the transmissions over fiber optic, atmospheric or satellite links and are not directly applicable to underwater environments with different channel characteristics. Absorption, scattering, and turbulence experienced in underwater channels severely limit the range of quantum communication links. In the first part of this thesis, we analyze the quantum bit error rate (QBER) and secret key rate (SKR) performance of the well-known BB84 protocol in underwater channels. As path loss model, we consider a modified version of Beer-Lambert formula which takes into account the effect of scattering. We derive a closed-form expression for the wave structure function to determine the average power transfer over turbulent underwater path and use this to obtain an upper bound on QBER as well as a lower bound on SKR. In the second part of this thesis, as a potential solution to overcome range limitations, we investigate a multi-hop underwater QKD where intermediate nodes between the source and destination nodes help the key distribution. We consider the deployment of passive relays which simply redirect the qubits to the next relay node or the receiver without any measurement. Based on the near-field analysis, we present the performance of relay-assisted QKD scheme in terms of QBER and SKR in different water types and turbulence conditions. In the last part of this thesis, we investigate the fundamental performance limits of decoy BB84 protocol over turbulent underwater channels and provide a comprehensive performance characterization. Based on near field analysis, we utilize the wave structure function to determine the average power transfer over turbulent underwater path and use this to obtain a lower bound on key generation rate. Based on this bound, we present the performance of decoy BB84 protocol in different water type.




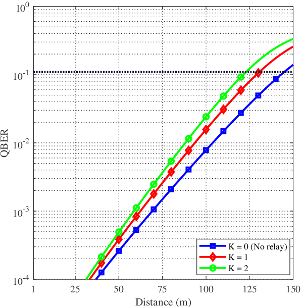
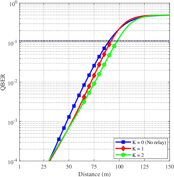
Abstract:Absorption, scattering, and turbulence experienced in underwater channels severely limit the range of quantum communications. In this paper, to overcome range limitations, we investigate a multi-hop underwater quantum key distribution (QKD) where intermediate nodes help the key distribution between the source and destination nodes. We consider deployment of passive-relays which simply redirect the qubits to the next relay node or receiver without any measurement. Based on near-field analysis, we present the performance of relay-assisted QKD scheme in clear ocean under different atmospheric conditions. We further investigate the effect of system parameters (aperture size and detector field-of-view) on the achievable distance.

Abstract:In this extended abstract, we consider a dual-hop hybrid visible light communication (VLC)/radio frequency (RF) scenario where energy is harvested during the VLC transmission and used to power the relay. We formulate the optimization problem in the sense of maximizing the data rate under the assumption of decode-and-forward (DF) relaying. As the design parameters, the direct current (DC) bias and the assigned time duration for energy harvesting are taken into account. In particular, the joint optimization is split into two subproblems, which are then cyclically solved. Additional details and numerical results are left to be presented in the full paper.