Abstract:In this work, we propose a novel framework for the logical specification of non-Markovian rewards in Markov Decision Processes (MDPs) with large state spaces. Our approach leverages Linear Temporal Logic Modulo Theories over finite traces (LTLfMT), a more expressive extension of classical temporal logic in which predicates are first-order formulas of arbitrary first-order theories rather than simple Boolean variables. This enhanced expressiveness enables the specification of complex tasks over unstructured and heterogeneous data domains, promoting a unified and reusable framework that eliminates the need for manual predicate encoding. However, the increased expressive power of LTLfMT introduces additional theoretical and computational challenges compared to standard LTLf specifications. We address these challenges from a theoretical standpoint, identifying a fragment of LTLfMT that is tractable but sufficiently expressive for reward specification in an infinite-state-space context. From a practical perspective, we introduce a method based on reward machines and Hindsight Experience Replay (HER) to translate first-order logic specifications and address reward sparsity. We evaluate this approach to a continuous-control setting using Non-Linear Arithmetic Theory, showing that it enables natural specification of complex tasks. Experimental results show how a tailored implementation of HER is fundamental in solving tasks with complex goals.



Abstract:Real-world processes operate on objects that are inter-dependent. To accurately reflect the nature of such processes, object-centric process mining techniques are needed, notably conformance checking. However, while the object-centric perspective has recently gained traction, few concrete process mining techniques have been presented so far. Moreover, existing approaches are severely limited in their abilities to keep track of object identity and object dependencies. Consequently, serious problems in logs remain undetected. In this paper, we present a new formalism that combines the key modelling features of two existing approaches, in particular the ability of object-centric Petri nets to capture one-to-many relations and the one of Petri nets with identifiers to compare and synchronize objects based on their identity. We call the resulting formalism 'object-centric Petri nets with identifiers', and define alignments and the conformance checking task for this setting. We propose a conformance checking approach for such nets based on an encoding in satisfiability modulo theories (SMT), and illustrate how it can be effectively used to overcome shortcomings of earlier work. To assess its practicality, we perform an evaluation on data from the literature.




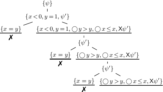
Abstract:We study Linear Temporal Logic Modulo Theories over Finite Traces (LTLfMT), a recently introduced extension of LTL over finite traces (LTLf) where propositions are replaced by first-order formulas and where first-order variables referring to different time points can be compared. In general, LTLfMT was shown to be semi-decidable for any decidable first-order theory (e.g., linear arithmetics), with a tableau-based semi-decision procedure. In this paper we present a sound and complete pruning rule for the LTLfMT tableau. We show that for any LTLfMT formula that satisfies an abstract, semantic condition, that we call finite memory, the tableau augmented with the new rule is also guaranteed to terminate. Last but not least, this technique allows us to establish novel decidability results for the satisfiability of several fragments of LTLfMT, as well as to give new decidability proofs for classes that are already known.


Abstract:Modeling and verification of dynamic systems operating over a relational representation of states are increasingly investigated problems in AI, Business Process Management, and Database Theory. To make these systems amenable to verification, the amount of information stored in each relational state needs to be bounded, or restrictions are imposed on the preconditions and effects of actions. We introduce the general framework of relational action bases (RABs), which generalizes existing models by lifting both these restrictions: unbounded relational states can be evolved through actions that can quantify both existentially and universally over the data, and that can exploit numerical datatypes with arithmetic predicates. We then study parameterized safety of RABs via (approximated) SMT-based backward search, singling out essential meta-properties of the resulting procedure, and showing how it can be realized by an off-the-shelf combination of existing verification modules of the state-of-the-art MCMT model checker. We demonstrate the effectiveness of this approach on a benchmark of data-aware business processes. Finally, we show how universal invariants can be exploited to make this procedure fully correct.

Abstract:Logs of real-life processes often feature uncertainty pertaining the recorded timestamps, data values, and/or events. We consider the problem of checking conformance of uncertain logs against data-aware reference processes. Specifically, we show how to solve it via SMT encodings, lifting previous work on data-aware SMT-based conformance checking to this more sophisticated setting. Our approach is modular, in that it homogeneously accommodates for different types of uncertainty. Moreover, using appropriate cost functions, different conformance checking tasks can be addressed. We show the correctness of our approach and witness feasibility through a proof-of-concept implementation.



Abstract:This paper studies Linear Temporal Logic over Finite Traces (LTLf) where proposition letters are replaced with first-order formulas interpreted over arbitrary theories, in the spirit of Satisfiability Modulo Theories. The resulting logic, called LTLf Modulo Theories (LTLfMT), is semi-decidable. Nevertheless, its high expressiveness comes useful in a number of use cases, such as model-checking of data-aware processes and data-aware planning. Despite the general undecidability of these problems, being able to solve satisfiable instances is a compromise worth studying. After motivating and describing such use cases, we provide a sound and complete semi-decision procedure for LTLfMT based on the SMT encoding of a one-pass tree-shaped tableau system. The algorithm is implemented in the BLACK satisfiability checking tool, and an experimental evaluation shows the feasibility of the approach on novel benchmarks.
Abstract:In the context of verification of data-aware processes (DAPs), a formal approach based on satisfiability modulo theories (SMT) has been considered to verify parameterised safety properties of so-called artifact-centric systems. This approach requires a combination of model-theoretic notions and algorithmic techniques based on backward reachability. We introduce here a variant of one of the most investigated models in this spectrum, namely simple artifact systems (SASs), where, instead of managing a database, we operate over a description logic (DL) ontology expressed in (a slight extension of) RDFS. This DL, enjoying suitable model-theoretic properties, allows us to define DL-based SASs to which backward reachability can still be applied, leading to decidability in PSPACE of the corresponding safety problems.
Abstract:Conformance checking is a key process mining task for comparing the expected behavior captured in a process model and the actual behavior recorded in a log. While this problem has been extensively studied for pure control-flow processes, conformance checking with multi-perspective processes is still at its infancy. In this paper, we attack this challenging problem by considering processes that combine the data and control-flow dimensions. In particular, we adopt data Petri nets (DPNs) as the underlying reference formalism, and show how solid, well-established automated reasoning techniques can be effectively employed for computing conformance metrics and data-aware alignments. We do so by introducing the CoCoMoT (Computing Conformance Modulo Theories) framework, with a fourfold contribution. First, we show how SAT-based encodings studied in the pure control-flow setting can be lifted to our data-aware case, using SMT as the underlying formal and algorithmic framework. Second, we introduce a novel preprocessing technique based on a notion of property-preserving clustering, to speed up the computation of conformance checking outputs. Third, we provide a proof-of-concept implementation that uses a state-of-the-art SMT solver and report on preliminary experiments. Finally, we discuss how CoCoMoT directly lends itself to a number of further tasks, like multi- and anti-alignments, log analysis by clustering, and model repair.




Abstract:In this paper we study the verification of parameterised multi-agent systems (MASs), and in particular the task of verifying whether unwanted states, characterised as a given state formula, are reachable in a given MAS, i.e., whether the MAS is unsafe. The MAS is parameterised and the model only describes the finite set of possible agent templates, while the actual number of concrete agent instances for each template is unbounded and cannot be foreseen. This makes the state-space infinite. As safety may of course depend on the number of agent instances in the system, the verification result must be correct irrespective of such number. We solve this problem via infinite-state model checking based on satisfiability modulo theories (SMT), relying on the theory of array-based systems: we present parameterised MASs as particular array-based systems, under two execution semantics for the MAS, which we call concurrent and interleaved. We prove our decidability results under these assumptions and illustrate our implementation approach, called SAFE: the Swarm Safety Detector, based on the third-party model checker MCMT, which we evaluate experimentally. Finally, we discuss how this approach lends itself to richer parameterised and data-aware MAS settings beyond the state-of-the-art solutions in the literature, which we leave as future work.



Abstract:During the last decade, various approaches have been put forward to integrate business processes with different types of data. Each of such approaches reflects specific demands in the whole process-data integration spectrum. One particular important point is the capability of these approaches to flexibly accommodate processes with multiple cases that need to co-evolve. In this work, we introduce and study an extension of coloured Petri nets, called catalog-nets, providing two key features to capture this type of processes. On the one hand, net transitions are equipped with guards that simultaneously inspect the content of tokens and query facts stored in a read-only, persistent database. On the other hand, such transitions can inject data into tokens by extracting relevant values from the database or by generating genuinely fresh ones. We systematically encode catalog-nets into one of the reference frameworks for the (parameterised) verification of data and processes. We show that fresh-value injection is a particularly complex feature to handle, and discuss strategies to tame it. Finally, we discuss how catalog nets relate to well-known formalisms in this area.