Abstract:Recent studies suggest that uniform circular arrays (UCAs) can extend the angular coverage of the radiative near field region. This work investigates whether such enhanced angular coverage translates into improved spatial multiplexing performance when compared to uniform linear arrays (ULAs). To more accurately delineate the effective near field region, we introduce the effective beamfocusing Rayleigh distance (EBRD), an angle dependent metric that bounds the spatial region where beamfocusing remains effective. Closed form expressions for both beamdepth and EBRD are derived for UCAs. Our analysis shows that, under a fixed antenna element count, ULAs achieve narrower beamdepth and a longer EBRD than UCAs. Conversely, under a fixed aperture length, UCAs provide slightly narrower beamdepth and a marginally longer EBRD. Simulation results further confirm that ULAs achieve higher sum rate under the fixed element constraint, while UCAs offer marginal performance gain under the fixed aperture constraint.




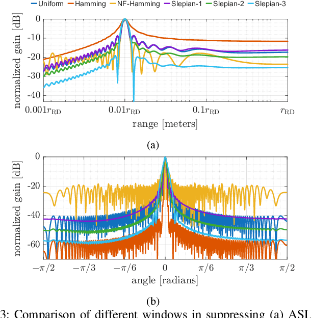
Abstract:Near-field beamforming enables target discrimination in both range (axial) and angle (lateral) dimensions. Elevated sidelobes along either dimension, however, increase susceptibility to interference and degrade detection performance. Conventional amplitude tapering techniques, designed for far-field scenarios, cannot simultaneously suppress axial and lateral sidelobes in near-field. In this letter, we propose a Slepian-based amplitude tapering approach that maximizes mainlobe energy concentration, achieving significant sidelobe reduction in both dimensions. Numerical results show that the proposed taper improves peak sidelobe suppression by approximately 24 dB in the lateral domain and 10 dB in the axial domain compared to a conventional uniform window.
Abstract:Ultra-massive multiple-input multiple-output MIMO (UM-MIMO) leverages large antenna arrays at high frequencies, transitioning communication paradigm into the radiative near-field (NF), where spherical wavefronts enable full-vector estimation of both target location and velocity. However, location and motion parameters become inherently coupled in this regime, making their joint estimation computationally demanding. To overcome this, we propose a novel approach that projects the received two-dimensional space-time signal onto the angle-Doppler domain using a two-dimensional discrete Fourier transform (2D-DFT). Our analysis reveals that the resulting angular spread is centered at the target's true angle, with its width determined by the target's range. Similarly, transverse motion induces a Doppler spread centered at the true radial velocity, with the width of Doppler spread proportional to the transverse velocity. Exploiting these spectral characteristics, we develop a low-complexity algorithm that provides coarse estimates of angle, range, and velocity, which are subsequently refined using one-dimensional multiple signal classification (MUSIC) applied independently to each parameter. The proposed method enables accurate and efficient estimation of NF target motion parameters. Simulation results demonstrate a normalized mean squared error (NMSE) of -40 dB for location and velocity estimates compared to maximum likelihood estimation, while significantly reducing computational complexity.
Abstract:With the deployment of large antenna arrays at high frequency bands, future wireless communication systems are likely to operate in the radiative near-field. Unlike far-field beam steering, near-field beams can be focused within a spatial region of finite depth, enabling spatial multiplexing in both the angular and range dimensions. This paper derives the beamdepth for a generalized uniform rectangular array (URA) and investigates how array geometry influences the near-field beamdepth and the limits where near-field beamfocusing is achievable. To characterize the near-field boundary in terms of beamfocusing and spatial multiplexing gains, we define the effective beamfocusing Rayleigh distance (EBRD) for a generalized URA. Our analysis reveals that while a square URA achieves the narrowest beamdepth, the EBRD is maximized for a wide or tall URA. However, despite its narrow beamdepth, a square URA may experience a reduction in multiuser sum rate due to its severely constrained EBRD. Simulation results confirm that a wide or tall URA achieves a sum rate of 3.5 X more than that of a square URA, benefiting from the extended EBRD and improved spatial multiplexing capabilities.
Abstract:Ultra-massive multiple-input multiple-output (UM-MIMO) technology is a key enabler for 6G networks, offering exceptional high data rates in millimeter-wave (mmWave) and Terahertz (THz) frequency bands. The deployment of large antenna arrays at high frequencies transitions wireless communication into the radiative near-field, where precise beam alignment becomes essential for accurate channel estimation. Unlike far-field systems, which rely on angular domain only, near-field necessitates beam search across both angle and distance dimensions, leading to substantially higher training overhead. To address this challenge, we propose a discrete Fourier transform (DFT) based beam alignment to mitigate the training overhead. We highlight that the reduced path loss at shorter distances can compensate for the beamforming losses typically associated with using far-field codebooks in near-field scenarios. Additionally, far-field beamforming in the near-field exhibits angular spread, with its width determined by the user's range and angle. Leveraging this relationship, we develop a correlation interferometry (CI) algorithm, termed CI-DFT, to efficiently estimate user angle and range parameters. Simulation results demonstrate that the proposed scheme achieves performance close to exhaustive search in terms of achievable rate while significantly reducing the training overhead by 87.5%.




Abstract:Integrated sensing and communication (ISAC) has emerged as a transformative paradigm, enabling situationally aware and perceptive next-generation wireless networks through the co-design of shared network resources. With the adoption of millimeter-wave (mmWave) and terahertz (THz) frequency bands, ultra-massive MIMO (UM-MIMO) systems and holographic surfaces unlock the potential of near-field (NF) propagation, characterized by spherical wavefronts that facilitate beam manipulation in both angular and range domains. This paper presents a unified approach to near-field beam-training and sensing, introducing a dual-purpose codebook design that employs discrete Fourier transform (DFT)-based codebooks for coarse estimation of sensing parameters and polar codebooks for parameter refinement. Leveraging these range and angle estimates, a customized low-complexity space-time adaptive processing (STAP) technique is proposed for NF-ISAC to detect slow-moving targets and efficiently mitigate clutter. The interplay between codebooks and NF-STAP framework offers three key advantages: reduced communication beam training overhead, improved estimation accuracy, and minimal STAP computational complexity. Simulation results show that the proposed framework can reduce STAP complexity by three orders of magnitude, validating efficacy, and highlighting the potential of the proposed approach to seamlessly integrate NF communication and sensing functionalities in future wireless networks.




Abstract:Event-based cameras are sensors that simulate the human eye, offering advantages such as high-speed robustness and low power consumption. Established Deep Learning techniques have shown effectiveness in processing event data. Chimera is a Block-Based Neural Architecture Search (NAS) framework specifically designed for Event-Based Object Detection, aiming to create a systematic approach for adapting RGB-domain processing methods to the event domain. The Chimera design space is constructed from various macroblocks, including Attention blocks, Convolutions, State Space Models, and MLP-mixer-based architectures, which provide a valuable trade-off between local and global processing capabilities, as well as varying levels of complexity. The results on the PErson Detection in Robotics (PEDRo) dataset demonstrated performance levels comparable to leading state-of-the-art models, alongside an average parameter reduction of 1.6 times.




Abstract:The transition to 6G networks promises unprecedented advancements in wireless communication, with increased data rates, ultra-low latency, and enhanced capacity. However, the complexity of managing and optimizing these next-generation networks presents significant challenges. The advent of large language models (LLMs) has revolutionized various domains by leveraging their sophisticated natural language understanding capabilities. However, the practical application of LLMs in wireless network orchestration and management remains largely unexplored. Existing literature predominantly offers visionary perspectives without concrete implementations, leaving a significant gap in the field. To address this gap, this paper presents NETORCHLLM, a wireless NETwork ORCHestrator LLM framework that uses LLMs to seamlessly orchestrate diverse wireless-specific models from wireless communication communities using their language understanding and generation capabilities. A comprehensive framework is introduced, demonstrating the practical viability of our approach and showcasing how LLMs can be effectively harnessed to optimize dense network operations, manage dynamic environments, and improve overall network performance. NETORCHLLM bridges the theoretical aspirations of prior research with practical, actionable solutions, paving the way for future advancements in integrating generative AI technologies within the wireless communications sector.




Abstract:Integrated sensing and communications (ISAC) has emerged as a means to efficiently utilize spectrum and thereby save cost and power. At the higher end of the spectrum, ISAC systems operate at wideband using large antenna arrays to meet the stringent demands for high-resolution sensing and enhanced communications capacity. On the other hand, the overall design should satisfy energy-efficiency and hardware constraints such as operating on low resolution components for a practical scenario. Therefore, this paper presents the design of Hybrid ANalog and Digital BeAmformers with Low resoLution (HANDBALL) digital-to-analog converters (DACs). We introduce a greedy-search-based approach to design the analog beamformers for multi-user multi-target ISAC scenario. Then, the quantization distortion is taken into account in order to design the baseband beamformer with low resolution DACs. We evaluated performance of the proposed HANDBALL technique in terms of both spectral efficiency and sensing beampattern, providing a satisfactory sensing and communication performance for both one-bit and few-bit designs.




Abstract:Mixed-precision quantization works Neural Networks (NNs) are gaining traction for their efficient realization on the hardware leading to higher throughput and lower energy. In-Memory Computing (IMC) accelerator architectures are offered as alternatives to traditional architectures relying on a data-centric computational paradigm, diminishing the memory wall problem, and scoring high throughput and energy efficiency. These accelerators can support static fixed-precision but are not flexible to support mixed-precision NNs. In this paper, we present BF-IMNA, a bit fluid IMC accelerator for end-to-end Convolutional NN (CNN) inference that is capable of static and dynamic mixed-precision without any hardware reconfiguration overhead at run-time. At the heart of BF-IMNA are Associative Processors (APs), which are bit-serial word-parallel Single Instruction, Multiple Data (SIMD)-like engines. We report the performance of end-to-end inference of ImageNet on AlexNet, VGG16, and ResNet50 on BF-IMNA for different technologies (eNVM and NVM), mixed-precision configurations, and supply voltages. To demonstrate bit fluidity, we implement HAWQ-V3's per-layer mixed-precision configurations for ResNet18 on BF-IMNA using different latency budgets, and results reveal a trade-off between accuracy and Energy-Delay Product (EDP): On one hand, mixed-precision with a high latency constraint achieves the closest accuracy to fixed-precision INT8 and reports a high (worse) EDP compared to fixed-precision INT4. On the other hand, with a low latency constraint, BF-IMNA reports the closest EDP to fixed-precision INT4, with a higher degradation in accuracy compared to fixed-precision INT8. We also show that BF-IMNA with fixed-precision configuration still delivers performance that is comparable to current state-of-the-art accelerators: BF-IMNA achieves $20\%$ higher energy efficiency and $2\%$ higher throughput.