



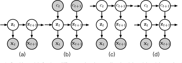
In unsupervised causal representation learning for sequential data with time-delayed latent causal influences, strong identifiability results for the disentanglement of causally-related latent variables have been established in stationary settings by leveraging temporal structure. However, in nonstationary setting, existing work only partially addressed the problem by either utilizing observed auxiliary variables (e.g., class labels and/or domain indexes) as side information or assuming simplified latent causal dynamics. Both constrain the method to a limited range of scenarios. In this study, we further explored the Markov Assumption under time-delayed causally related process in nonstationary setting and showed that under mild conditions, the independent latent components can be recovered from their nonlinear mixture up to a permutation and a component-wise transformation, without the observation of auxiliary variables. We then introduce NCTRL, a principled estimation framework, to reconstruct time-delayed latent causal variables and identify their relations from measured sequential data only. Empirical evaluations demonstrated the reliable identification of time-delayed latent causal influences, with our methodology substantially outperforming existing baselines that fail to exploit the nonstationarity adequately and then, consequently, cannot distinguish distribution shifts.