



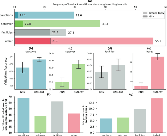
The expressive and computationally inexpensive bipartite Graph Neural Networks (GNN) have been shown to be an important component of deep learning based Mixed-Integer Linear Program (MILP) solvers. Recent works have demonstrated the effectiveness of such GNNs in replacing the branching (variable selection) heuristic in branch-and-bound (B&B) solvers. These GNNs are trained, offline and on a collection of MILPs, to imitate a very good but computationally expensive branching heuristic, strong branching. Given that B&B results in a tree of sub-MILPs, we ask (a) whether there are strong dependencies exhibited by the target heuristic among the neighboring nodes of the B&B tree, and (b) if so, whether we can incorporate them in our training procedure. Specifically, we find that with the strong branching heuristic, a child node's best choice was often the parent's second-best choice. We call this the "lookback" phenomenon. Surprisingly, the typical branching GNN of Gasse et al. (2019) often misses this simple "answer". To imitate the target behavior more closely by incorporating the lookback phenomenon in GNNs, we propose two methods: (a) target smoothing for the standard cross-entropy loss function, and (b) adding a Parent-as-Target (PAT) Lookback regularizer term. Finally, we propose a model selection framework to incorporate harder-to-formulate objectives such as solving time in the final models. Through extensive experimentation on standard benchmark instances, we show that our proposal results in up to 22% decrease in the size of the B&B tree and up to 15% improvement in the solving times.