



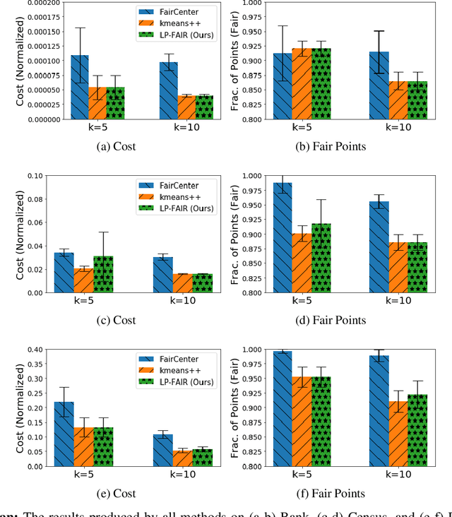
Ensuring fairness in machine learning algorithms is a challenging and important task. We consider the problem of clustering a set of points while ensuring fairness constraints. While there have been several attempts to capture group fairness in the k-clustering problem, fairness at an individual level is not well-studied. We introduce a new notion of individual fairness in k-clustering based on features that are not necessarily used for clustering. We show that this problem is NP-hard and does not admit a constant factor approximation. We then design a randomized algorithm that guarantees approximation both in terms of minimizing the clustering distance objective as well as individual fairness under natural restrictions on the distance metric and fairness constraints. Finally, our experimental results validate that our algorithm produces lower clustering costs compared to existing algorithms while being competitive in individual fairness.