



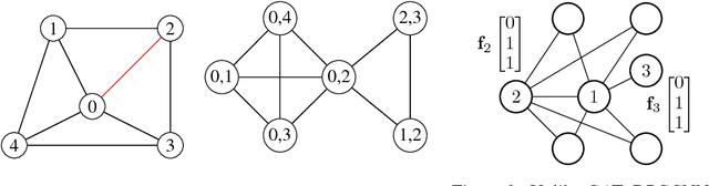
In recent years, there has been a surge of interest in developing deep learning methods for non-Euclidean structured data such as graphs. In this paper, we propose Dual-Primal Graph CNN, a graph convolutional architecture that alternates convolution-like operations on the graph and its dual. Our approach allows to learn both vertex- and edge features and generalizes the previous graph attention (GAT) model. We provide extensive experimental validation showing state-of-the-art results on a variety of tasks tested on established graph benchmarks, including CORA and Citeseer citation networks as well as MovieLens, Flixter, Douban and Yahoo Music graph-guided recommender systems.