



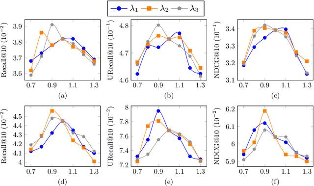
Interactions between users and videos are the major data source of performing video recommendation. Despite lots of existing recommendation methods, user behaviors on videos, which imply the complex relations between users and videos, are still far from being fully explored. In the paper, we present a model named Sagittarius. Sagittarius adopts a graph convolutional neural network to capture the influence between users and videos. In particular, Sagittarius differentiates between different user behaviors by weighting and fuses the semantics of user behaviors into the embeddings of users and videos. Moreover, Sagittarius combines multiple optimization objectives to learn user and video embeddings and then achieves the video recommendation by the learned user and video embeddings. The experimental results on multiple datasets show that Sagittarius outperforms several state-of-the-art models in terms of recall, unique recall and NDCG.