



Abstract:Video anomaly detection (VAD) is crucial in scenarios such as surveillance and autonomous driving, where timely detection of unexpected activities is essential. Although existing methods have primarily focused on detecting anomalous objects in videos -- either by identifying anomalous frames or objects -- they often neglect finer-grained analysis, such as anomalous pixels, which limits their ability to capture a broader range of anomalies. To address this challenge, we propose a new framework called Track Any Anomalous Object (TAO), which introduces a granular video anomaly detection pipeline that, for the first time, integrates the detection of multiple fine-grained anomalous objects into a unified framework. Unlike methods that assign anomaly scores to every pixel, our approach transforms the problem into pixel-level tracking of anomalous objects. By linking anomaly scores to downstream tasks such as segmentation and tracking, our method removes the need for threshold tuning and achieves more precise anomaly localization in long and complex video sequences. Experiments demonstrate that TAO sets new benchmarks in accuracy and robustness. Project page available online.




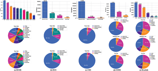
Abstract:Underwater object detection (UOD), aiming to identify and localise the objects in underwater images or videos, presents significant challenges due to the optical distortion, water turbidity, and changing illumination in underwater scenes. In recent years, artificial intelligence (AI) based methods, especially deep learning methods, have shown promising performance in UOD. To further facilitate future advancements, we comprehensively study AI-based UOD. In this survey, we first categorise existing algorithms into traditional machine learning-based methods and deep learning-based methods, and summarise them by considering learning strategy, experimental dataset, utilised features or frameworks, and learning stage. Next, we discuss the potential challenges and suggest possible solutions and new directions. We also perform both quantitative and qualitative evaluations of mainstream algorithms across multiple benchmark datasets by considering the diverse and biased experimental setups. Finally, we introduce two off-the-shelf detection analysis tools, Diagnosis and TIDE, which well-examine the effects of object characteristics and various types of errors on detectors. These tools help identify the strengths and weaknesses of detectors, providing insigts for further improvement. The source codes, trained models, utilised datasets, detection results, and detection analysis tools are public available at \url{https://github.com/LongChenCV/UODReview}, and will be regularly updated.