Abstract:Weak turbulence is commonly modeled using the log-normal distribution. Our experimental results show that this distribution fails to capture irradiance fluctuations in this regime. The Gamma-Gamma model is shown to be more accurate.




Abstract:Atmospheric attenuation, atmospheric turbulence, geometric spread, and pointing errors, degrade the performance of free-space optical transmission. In the weak turbulence regime, the probability density function describing the distribution of the channel fading coefficient that models these four effects is known in the literature. This function is an integral equation, which makes it difficult to find simple analytical expressions of important performance metrics such as the bit error rate (BER) and symbol error rate (SER). In this paper, we present simple and accurate approximations of the average BER and SER for pulse-amplitude modulation (PAM) in the weak turbulence regime for an intensity modulation and direct detection system. Our numerical results show that the proposed expressions exhibit excellent accuracy when compared against Monte Carlo simulations. To demonstrate the usefulness of the developed approximations, we perform two asymptotic analyses. First, we investigate the additional transmit power required to maintain the same SER when the spectral efficiency increases by 1 bit/symbol. Second, we study the asymptotic behavior of our SER approximation for dense PAM constellations and high transmit power.
Abstract:Next-generation intensity-modulation (IM) and direct-detection (DD) systems used in data centers are expected to operate at 400 Gb/s/lane and beyond. Such rates can be achieved by increasing the system bandwidth or the modulation format, which in turn requires maintaining or increasing the signal-to-noise ratio (SNR). Such SNR requirements can be achieved by increasing the transmitted optical power. This increase in optical power causes the emergence of relative intensity noise (RIN), a signal-dependent impairment inherent to the transmitter laser, which ultimately limits the performance of the system. In this paper, we develop an analytical symbol error rate (SER) expression for the optimal detector for the IM-DD optical link under study. The developed expression takes into account the signal-dependent nature of RIN and does not make any assumptions on the geometry or probability distribution of the constellation. Our expression is therefore applicable to general probabilistically and/or geometrically shaped systems. Unlike results available in the literature, our proposed expression provides a perfect match to numerical simulations of probabilistic and geometrically shaped systems.
Abstract:We propose geometric shaping for IM-DD links dominated by relative intensity noise (RIN). For 400 Gbps links, our geometrically-shaped constellations result in error probability improvements that relaxes the RIN laser design by 3 dB.
Abstract:We investigate the design of two neural network (NN) architectures recently proposed as decoders for forward error correction: the so-called single-label NN (SLNN) and multi-label NN (MLNN) decoders. These decoders have been reported to achieve near-optimal codeword- and bit-wise performance, respectively. Results in the literature show near-optimality for a variety of short codes. In this paper, we analytically prove that certain SLNN and MLNN architectures can, in fact, always realize optimal decoding, regardless of the code. These optimal architectures and their binary weights are shown to be defined by the codebook, i.e., no training or network optimization is required. Our proposed architectures are in fact not NNs, but a different way of implementing the maximum likelihood decoding rule. Optimal performance is numerically demonstrated for Hamming $(7,4)$, Polar $(16,8)$, and BCH $(31,21)$ codes. The results show that our optimal architectures are less complex than the SLNN and MLNN architectures proposed in the literature, which in fact only achieve near-optimal performance. Extension to longer codes is still hindered by the curse of dimensionality. Therefore, even though SLNN and MLNN can perform maximum likelihood decoding, such architectures cannot be used for medium and long codes.
Abstract:This paper analyzes the design and competitiveness of four neural network (NN) architectures recently proposed as decoders for forward error correction (FEC) codes. We first consider the so-called single-label neural network (SLNN) and the multi-label neural network (MLNN) decoders which have been reported to achieve near maximum likelihood (ML) performance. Here, we show analytically that SLNN and MLNN decoders can always achieve ML performance, regardless of the code dimensions -- although at the cost of computational complexity -- and no training is in fact required. We then turn our attention to two transformer-based decoders: the error correction code transformer (ECCT) and the cross-attention message passing transformer (CrossMPT). We compare their performance against traditional decoders, and show that ordered statistics decoding outperforms these transformer-based decoders. The results in this paper cast serious doubts on the application of NN-based FEC decoders in the short and medium block length regime.




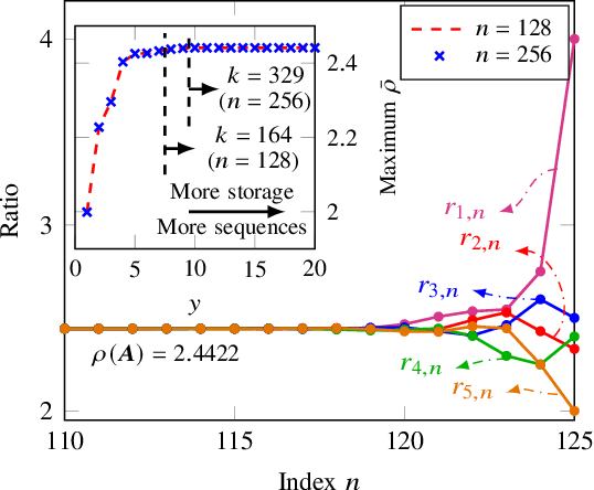
Abstract:Probabilistic amplitude shaping (PAS) is on track to become the de facto coded modulation standard for communication systems aiming to operate close to channel capacity at high transmission rates. The essential component of PAS that breeds this widespread interest is the amplitude shaping block, through which the channel input distribution is controlled. This block is responsible for converting bit strings into amplitude sequences with certain properties, e.g., fixed composition, limited energy, limited energy variation, etc. Recently, band-trellis enumerative sphere shaping (B-ESS) was introduced as an amplitude shaping technique that achieves limited energy variations which is useful in optical communication scenarios. B-ESS operates based on a trellis diagram in which sequences with high energy variations are pruned. In this work, we study the implementation of B-ESS. We first show that thanks to the trellis structure obtained by this pruning, B-ESS can be implemented with very low storage complexity. The trellis computation is shown to be reduced to a set of recursive multiplications with a scalar factor. Then we show that this scalar factor can be adjusted such that the trellis computation is further simplified and realized with only binary shifts. This shift-based B-ESS (1) can be implemented for arbitrarily long blocklengths without incurring an increase in complexity, and (2) can operate in a streaming mode similar to convolutional coding.

Abstract:We study the effective SNR behavior of various enumerative amplitude shaping algorithms. We show that their relative behavior can be explained via the temporal autocorrelation function or via the energy dispersion index.



Abstract:We show that a 0.9 dB SNR improvement can be obtained via short-blocklength enumerative sphere shaping for single-span transmission at 56 GBd. This gain vanishes for higher symbol rates and a larger number of spans.




Abstract:Recent years have seen renewed attention to arithmetic coding (AC). This is thanks to the use of AC for distribution matching (DM) to control the channel input distribution in probabilistic amplitude shaping. There are two main problems inherent to AC: (1) its required arithmetic precision grows linearly with the input length, and (2) high-precision multiplications and divisions are required. Here, we introduce a multiplication-free AC-based DM technique via three lookup tables (LUTs) which solves both problems above. These LUTs are used to approximate the high-precision multiplications and divisions by additions and subtractions. The required precision of our approach is shown to grow logarithmically with the input length. We prove that this approximate technique maintains the invertibility of DM. At an input length of 1024 symbols, the proposed technique achieves negligible rate loss ($<0.01$ bit/sym) against the full-precision DM, while requiring less than 4 kilobytes of storage.