



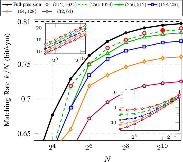
Recent years have seen renewed attention to arithmetic coding (AC). This is thanks to the use of AC for distribution matching (DM) to control the channel input distribution in probabilistic amplitude shaping. There are two main problems inherent to AC: (1) its required arithmetic precision grows linearly with the input length, and (2) high-precision multiplications and divisions are required. Here, we introduce a multiplication-free AC-based DM technique via three lookup tables (LUTs) which solves both problems above. These LUTs are used to approximate the high-precision multiplications and divisions by additions and subtractions. The required precision of our approach is shown to grow logarithmically with the input length. We prove that this approximate technique maintains the invertibility of DM. At an input length of 1024 symbols, the proposed technique achieves negligible rate loss ($<0.01$ bit/sym) against the full-precision DM, while requiring less than 4 kilobytes of storage.