Abstract:Symbolic Regression aims to automatically identify compact and interpretable mathematical expressions that model the functional relationship between input and output variables. Most existing search-based symbolic regression methods typically rely on the fitting error to inform the search process. However, in the vast expression space, numerous candidate expressions may exhibit similar error values while differing substantially in structure, leading to ambiguous search directions and hindering convergence to the underlying true function. To address this challenge, we propose a novel framework named EGRL-SR (Experience-driven Goal-conditioned Reinforcement Learning for Symbolic Regression). In contrast to traditional error-driven approaches, EGRL-SR introduces a new perspective: leveraging precise historical trajectories and optimizing the action-value network to proactively guide the search process, thereby achieving a more robust expression search. Specifically, we formulate symbolic regression as a goal-conditioned reinforcement learning problem and incorporate hindsight experience replay, allowing the action-value network to generalize common mapping patterns from diverse input-output pairs. Moreover, we design an all-point satisfaction binary reward function that encourages the action-value network to focus on structural patterns rather than low-error expressions, and concurrently propose a structure-guided heuristic exploration strategy to enhance search diversity and space coverage. Experiments on public benchmarks show that EGRL-SR consistently outperforms state-of-the-art methods in recovery rate and robustness, and can recover more complex expressions under the same search budget. Ablation results validate that the action-value network effectively guides the search, with both the reward function and the exploration strategy playing critical roles.




Abstract:Memory behavior modeling is a core issue in cognitive psychology and education. Classical psychological theories typically use memory equations to describe memory behavior, which exhibits insufficient accuracy and controversy, while data-driven memory modeling methods often require large amounts of training data and lack interpretability. Knowledge-informed neural network models have shown excellent performance in fields like physics, but there have been few attempts in the domain of behavior modeling. This paper proposed a psychology theory informed neural networks for memory behavior modeling named PsyINN, where it constructs a framework that combines neural network with differentiating sparse regression, achieving joint optimization. Specifically, to address the controversies and ambiguity of descriptors in memory equations, a descriptor evolution method based on differentiating operators is proposed to achieve precise characterization of descriptors and the evolution of memory theoretical equations. Additionally, a buffering mechanism for the sparse regression and a multi-module alternating iterative optimization method are proposed, effectively mitigating gradient instability and local optima issues. On four large-scale real-world memory behavior datasets, the proposed method surpasses the state-of-the-art methods in prediction accuracy. Ablation study demonstrates the effectiveness of the proposed refinements, and application experiments showcase its potential in inspiring psychological research.
Abstract:The automatic generation of high-quality mathematical problems is practically valuable in many educational scenarios. Large multimodal model provides a novel technical approach for the mathematical problem generation because of its wide success in cross-modal data scenarios. However, the traditional method of separating problem solving from problem generation and the mainstream fine-tuning framework of monotonous data structure with homogeneous training objectives limit the application of large multimodal model in mathematical problem generation. Addressing these challenges, this paper proposes COMET, a "Cone of Experience" enhanced large multimodal model for mathematical problem generation. Firstly, from the perspective of mutual ability promotion and application logic, we unify stem generation and problem solving into mathematical problem generation. Secondly, a three-stage fine-turning framework guided by the "Cone of Experience" is proposed. The framework divides the fine-tuning data into symbolic experience, iconic experience, and direct experience to draw parallels with experiences in the career growth of teachers. Several fine-grained data construction and injection methods are designed in this framework. Finally, we construct a Chinese multimodal mathematical problem dataset to fill the vacancy of Chinese multimodal data in this field. Combined with objective and subjective indicators, experiments on multiple datasets fully verify the effectiveness of the proposed framework and model.




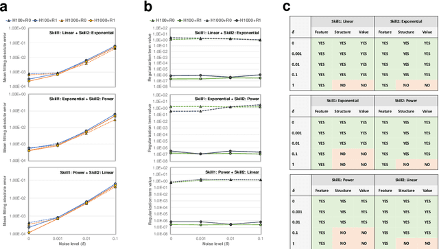
Abstract:Skill acquisition is a key area of research in cognitive psychology as it encompasses multiple psychological processes. The laws discovered under experimental paradigms are controversial and lack generalizability. This paper aims to unearth the laws of skill learning from large-scale training log data. A two-stage algorithm was developed to tackle the issues of unobservable cognitive states and algorithmic explosion in searching. Initially a deep learning model is employed to determine the learner's cognitive state and assess the feature importance. Subsequently, symbolic regression algorithms are utilized to parse the neural network model into algebraic equations. The experimental results of simulated data demonstrate that the proposed algorithm can accurately restore various preset laws within a certain range of noise, in continues feedback setting. Application of proposed method to Lumosity training data demonstrates superior performance compared to traditional and latest models in terms of fitness. The results indicate the discovery of two new forms of skill acquisition laws, while some previous findings have been reaffirmed.