



Abstract:Variable impedance control is advantageous for physical human-robot interaction to improve safety, adaptability and many other aspects. This paper presents a gain-scheduled variable stiffness control approach under strict frequency-domain constraints. Firstly, to reduce conservativeness, we characterize and constrain the impedance rendering, actuator saturation, disturbance/noise rejection and passivity requirements into their specific frequency bands. This relaxation makes sense because of the restricted frequency properties of the interactive robots. Secondly, a gain-scheduled method is taken to regulate the controller gains with respect to the desired stiffness. Thirdly, the scheduling function is parameterized via a nonsmooth optimization method. Finally, the proposed approach is validated by simulations, experiments and comparisons with a gain-fixed passivity-based PID method.




Abstract:Impedance control and specifically stiffness control are widely applied for physical human-robot interaction. The series elastic actuator (SEA) provides inherent compliance, safety and further benefits. This paper aims to improve the stiffness control performance of a cable-driven SEA. Existing impedance controllers were designed within the full frequency domain, though human-robot interaction commonly falls in the low frequency range. We enhance the stiffness rendering performance under formulated constraints of passivity, actuator limitation, disturbance attenuation, noise rejection at their specific frequency ranges. Firstly, we reformulate this multiple frequency-band optimization problem into the $H_\infty$ synthesis framework. Then, the performance goals are quantitatively characterized by respective restricted frequency-domain specifications as norm bounds. Further, a structured controller is directly synthesized to satisfy all the competing performance requirements. Both simulation and experimental results showed that the produced controller enabled good interaction performance for each desired stiffness varying from 0 to 1 times of the physical spring constant. Compared with the passivity-based PID method, the proposed $H_\infty$ synthesis method achieved more accurate and robust stiffness control performance with guaranteed passivity.




Abstract:Purpose: This paper presents an impedance control method with mixed $H_2/H_\infty$ synthesis and relaxed passivity for a cable-driven series elastic actuator to be applied for physical human-robot interaction. Design/methodology/approach: To shape the system's impedance to match a desired dynamic model, the impedance control problem was reformulated into an impedance matching structure. The desired competing performance requirements as well as constraints from the physical system can be characterized with weighting functions for respective signals. Considering the frequency properties of human movements, the passivity constraint for stable human-robot interaction, which is required on the entire frequency spectrum and may bring conservative solutions, has been relaxed in such a way that it only restrains the low frequency band. Thus, impedance control became a mixed $H_2/H_\infty$ synthesis problem, and a dynamic output feedback controller can be obtained. Findings: The proposed impedance control strategy has been tested for various desired impedance with both simulation and experiments on the cable-driven series elastic actuator platform. The actual interaction torque tracked well the desired torque within the desired norm bounds, and the control input was regulated below the motor velocity limit. The closed loop system can guarantee relaxed passivity at low frequency. Both simulation and experimental results have validated the feasibility and efficacy of the proposed method. Originality/value: This impedance control strategy with mixed $H_2/H_\infty$ synthesis and relaxed passivity provides a novel, effective and less conservative method for physical human-robot interaction control.




Abstract:Series elastic actuators (SEA) are playing an increasingly important role in the fields of physical human-robot interaction. This paper focuses on the modeling and control of a cable-driven SEA. First, the scheme of the cable-driven SEA has been proposed, and a velocity controlled DC motor has been used as its power source. Based on this, the model of the cable-driven SEA has been built up. Further, a two degrees of freedom (2-DOF) control approach has been employed to control the output torque. Simulation results have shown that the 2-DOF method has achieved better robust performance than the PD method.




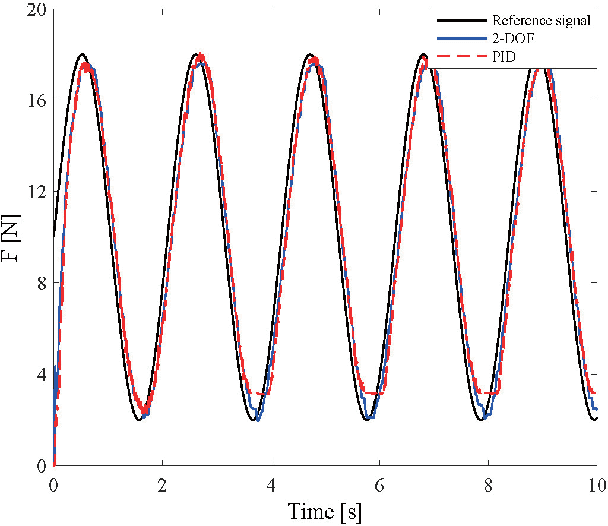
Abstract:Body weight support (BWS) is a fundamental technique in rehabilitation. Along with the dramatic progressing of rehabilitation science and engineering, BWS is quickly evolving with new initiatives and has attracted deep research effort in recent years. We have built up a novel gravity offloading system, in which the patient is allowed to move freely in the three-dimensional Cartesian space and receives support against gravity. Thus, the patients, especially for those that suffer from neurological injury such as stroke or spinal cord injury, can focus their residual motor control capabilities on essential therapeutic trainings of balance and gait. The real-time force control performance is critical for the BWS unit to provide suitable support and avoid disturbance. In this work, we have re-designed our BWS unit with a series elastic actuation structure to improve the human-robot interaction performance. Further, the 2 degrees of freedom (2-DOF) control approach was taken for accurate and robust BWS force control. Both simulation and experimental results have validated the efficacy of the BWS design and real-time control methods.