Abstract:We introduce a video diffusion model for high-fidelity, causal, and real-time video generation under ultra-low-bitrate semantic communication constraints. Our approach utilizes lossy semantic video coding to transmit the semantic scene structure, complemented by a stream of highly compressed, low-resolution frames that provide sufficient texture information to preserve fidelity. Building on these inputs, we introduce a modular video diffusion model that contains Semantic Control, Restoration Adapter, and Temporal Adapter. We further introduce an efficient temporal distillation procedure that enables extension to real-time and causal synthesis, reducing trainable parameters by 300x and training time by 2x, while adhering to communication constraints. Evaluated across diverse datasets, the framework achieves strong perceptual quality, semantic fidelity, and temporal consistency at ultra-low bitrates (< 0.0003 bpp), outperforming classical, neural, and generative baselines in extensive quantitative, qualitative, and subjective evaluations.
Abstract:This paper introduces BIR-Adapter, a low-complexity blind image restoration adapter for diffusion models. The BIR-Adapter enables the utilization of the prior of pre-trained large-scale diffusion models on blind image restoration without training any auxiliary feature extractor. We take advantage of the robustness of pretrained models. We extract features from degraded images via the model itself and extend the self-attention mechanism with these degraded features. We introduce a sampling guidance mechanism to reduce hallucinations. We perform experiments on synthetic and real-world degradations and demonstrate that BIR-Adapter achieves competitive or better performance compared to state-of-the-art methods while having significantly lower complexity. Additionally, its adapter-based design enables integration into other diffusion models, enabling broader applications in image restoration tasks. We showcase this by extending a super-resolution-only model to perform better under additional unknown degradations.




Abstract:Bugs are inevitable in software development, and their reporting in open repositories can enhance software transparency and reliability assessment. This study aims to extract information from the issue tracking system Jira and proposes a methodology to estimate resolution time for new bugs. The methodology is applied to network project ONAP, addressing concerns of network operators and manufacturers. This research provides insights into bug resolution times and related aspects in network softwarization projects.




Abstract:This paper presents OpenAirLink(OAL), an open-source channel emulator for reproducible testing of wireless scenarios. OAL is implemented on off-the-shelf software-defined radios (SDR) and presents a smaller-scale alternative to expensive commercially available channel emulators. Path loss and propagation delay are the fundamental aspects of emulating a wireless channel. OAL provides a simple method to change these aspects in real-time. The emulator is implemented using a finite impulse response (FIR) filter. The FIR filter is written in Verilog and flashed on the SDRs Field Programmable Gate Array (FPGA). Most processing transpires on the FPGA, so OAL does not require high-performance computing hardware and SDRs. We validate the performance of OAL and demonstrate the utility of such a channel emulation tool using two examples. We believe that open-source channel emulators such as OAL can make reproducible wireless experiments accessible to many researchers in the scientific community.
Abstract:We consider the distributed resource selection problem in Vehicle-to-vehicle (V2V) communication in the absence of a base station. Each vehicle autonomously selects transmission resources from a pool of shared resources to disseminate Cooperative Awareness Messages (CAMs). This is a consensus problem where each vehicle has to select a unique resource. The problem becomes more challenging when---due to mobility---the number of vehicles in vicinity of each other is changing dynamically. In a congested scenario, allocation of unique resources for each vehicle becomes infeasible and a congested resource allocation strategy has to be developed. The standardized approach in 5G, namely semi-persistent scheduling (SPS) suffers from effects caused by spatial distribution of the vehicles. In our approach, we turn this into an advantage. We propose a novel DIstributed Resource Allocation mechanism using multi-agent reinforcement Learning (DIRAL) which builds on a unique state representation. One challenging issue is to cope with the non-stationarity introduced by concurrently learning agents which causes convergence problems in multi-agent learning systems. We aimed to tackle non-stationarity with unique state representation. Specifically, we deploy view-based positional distribution as a state representation to tackle non-stationarity and perform complex joint behavior in a distributed fashion. Our results showed that DIRAL improves PRR by 20% compared to SPS in challenging congested scenarios.




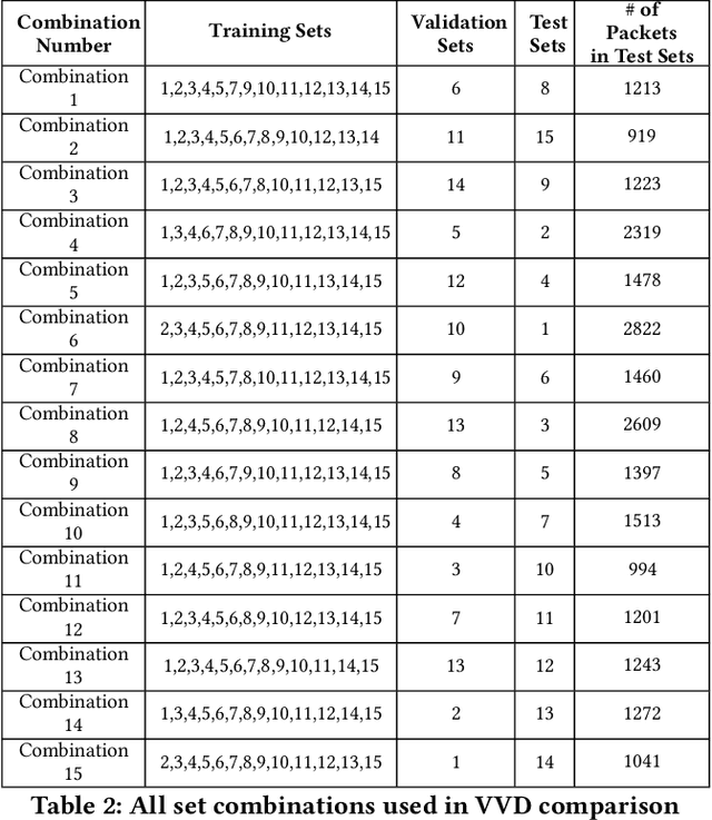
Abstract:The upcoming industrial revolution requires deployment of critical wireless sensor networks for automation and monitoring purposes. However, the reliability of the wireless communication is rendered unpredictable by mobile elements in the communication environment such as humans or mobile robots which lead to dynamically changing radio environments. Changes in the wireless channel can be monitored with frequent pilot transmission. However, that would stress the battery life of sensors. In this work a new wireless channel estimation technique, Veni Vidi Dixi, VVD, is proposed. VVD leverages the redundant information in depth images obtained from the surveillance cameras in the communication environment and utilizes Convolutional Neural Networks CNNs to map the depth images of the communication environment to complex wireless channel estimations. VVD increases the wireless communication reliability without the need for frequent pilot transmission and with no additional complexity on the receiver. The proposed method is tested by conducting measurements in an indoor environment with a single mobile human. Up to authors best knowledge our work is the first to obtain complex wireless channel estimation from only depth images without any pilot transmission. The collected wireless trace, depth images and codes are publicly available.




Abstract:Mobile video consumption is increasing and sophisticated video quality adaptation strategies are required to deal with mobile throughput fluctuations. These adaptation strategies have to keep the switching frequency low, the average quality high and prevent stalling occurrences to ensure customer satisfaction. This paper proposes a novel methodology for the design of machine learning-based adaptation logics named HASBRAIN. Furthermore, the performance of a trained neural network against two algorithms from the literature is evaluated. We first use a modified existing optimization formulation to calculate optimal adaptation paths with a minimum number of quality switches for a wide range of videos and for challenging mobile throughput patterns. Afterwards we use the resulting optimal adaptation paths to train and compare different machine learning models. The evaluation shows that an artificial neural network-based model can reach a high average quality with a low number of switches in the mobile scenario. The proposed methodology is general enough to be extended for further designs of machine learning-based algorithms and the provided model can be deployed in on-demand streaming scenarios or be further refined using reward-based mechanisms such as reinforcement learning. All tools, models and datasets created during the work are provided as open-source software.




Abstract:This paper addresses network anomography, that is, the problem of inferring network-level anomalies from indirect link measurements. This problem is cast as a low-rank subspace tracking problem for normal flows under incomplete observations, and an outlier detection problem for abnormal flows. Since traffic data is large-scale time-structured data accompanied with noise and outliers under partial observations, an efficient modeling method is essential. To this end, this paper proposes an online subspace tracking of a Hankelized time-structured traffic tensor for normal flows based on the Candecomp/PARAFAC decomposition exploiting the recursive least squares (RLS) algorithm. We estimate abnormal flows as outlier sparse flows via sparsity maximization in the underlying under-constrained linear-inverse problem. A major advantage is that our algorithm estimates normal flows by low-dimensional matrices with time-directional features as well as the spatial correlation of multiple links without using the past observed measurements and the past model parameters. Extensive numerical evaluations show that the proposed algorithm achieves faster convergence per iteration of model approximation, and better volume anomaly detection performance compared to state-of-the-art algorithms.