Abstract:Gradient-boosted decision trees are among the strongest off-the-shelf predictors for tabular regression, but point predictions alone do not quantify uncertainty. Conformal prediction provides distribution-free marginal coverage, yet split conformal uses a single global residual quantile and can be poorly adaptive under heteroscedasticity. Methods that improve adaptivity typically fit auxiliary nuisance models or introduce additional data splits/partitions to learn the conformal score, increasing cost and reducing data efficiency. We propose LoBoost, a model-native local conformal method that reuses the fitted ensemble's leaf structure to define multiscale calibration groups. Each input is encoded by its sequence of visited leaves; at resolution level k, we group points by matching prefixes of leaf indices across the first k trees and calibrate residual quantiles within each group. LoBoost requires no retraining, auxiliary models, or extra splitting beyond the standard train/calibration split. Experiments show competitive interval quality, improved test MSE on most datasets, and large calibration speedups.
Abstract:Supply chain optimization is key to a healthy and profitable business. Many companies use online procurement systems to agree contracts with suppliers. It is vital that the most competitive suppliers are invited to bid for such contracts. In this work, we propose a recommender system to assist with supplier discovery in road freight online procurement. Our system is able to provide personalized supplier recommendations, taking into account customer needs and preferences. This is a novel application of recommender systems, calling for design choices that fit the unique requirements of online procurement. Our preliminary results, using real-world data, are promising.




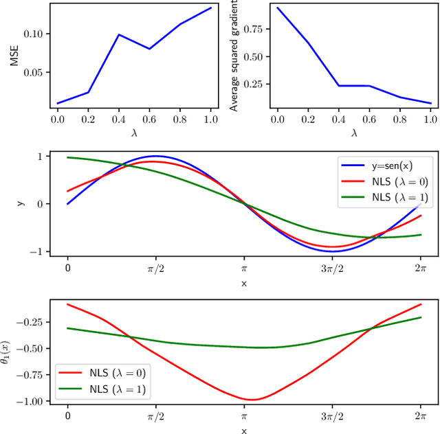
Abstract:An important feature of successful supervised machine learning applications is to be able to explain the predictions given by the regression or classification model being used. However, most state-of-the-art models that have good predictive power lead to predictions that are hard to interpret. Thus, several model-agnostic interpreters have been developed recently as a way of explaining black-box classifiers. In practice, using these methods is a slow process because a novel fitting is required for each new testing instance, and several non-trivial choices must be made. We develop NLS (neural local smoother), a method that is complex enough to give good predictions, and yet gives solutions that are easy to be interpreted without the need of using a separate interpreter. The key idea is to use a neural network that imposes a local linear shape to the output layer. We show that NLS leads to predictive power that is comparable to state-of-the-art machine learning models, and yet is easier to interpret.




Abstract:Stacking methods improve the prediction performance of regression models. A simple way to stack base regressions estimators is by combining them linearly, as done by \citet{breiman1996stacked}. Even though this approach is useful from an interpretative perspective, it often does not lead to high predictive power. We propose the NN-Stacking method (NNS), which generalizes Breiman's method by allowing the linear parameters to vary with input features. This improvement enables NNS to take advantage of the fact that distinct base models often perform better at different regions of the feature space. Our method uses neural networks to estimate the stacking coefficients. We show that while our approach keeps the interpretative features of Breiman's method at a local level, it leads to better predictive power, especially in datasets with large sample sizes.