New Mexico State University
Abstract:In the domain of Federated Learning (FL) systems, recent cutting-edge methods heavily rely on ideal conditions convergence analysis. Specifically, these approaches assume that the training datasets on IoT devices possess similar attributes to the global data distribution. However, this approach fails to capture the full spectrum of data characteristics in real-time sensing FL systems. In order to overcome this limitation, we suggest a new approach system specifically designed for IoT networks with real-time sensing capabilities. Our approach takes into account the generalization gap due to the user's data sampling process. By effectively controlling this sampling process, we can mitigate the overfitting issue and improve overall accuracy. In particular, We first formulate an optimization problem that harnesses the sampling process to concurrently reduce overfitting while maximizing accuracy. In pursuit of this objective, our surrogate optimization problem is adept at handling energy efficiency while optimizing the accuracy with high generalization. To solve the optimization problem with high complexity, we introduce an online reinforcement learning algorithm, named Sample-driven Control for Federated Learning (SCFL) built on the Soft Actor-Critic (A2C) framework. This enables the agent to dynamically adapt and find the global optima even in changing environments. By leveraging the capabilities of SCFL, our system offers a promising solution for resource allocation in FL systems with real-time sensing capabilities.




Abstract:This paper investigates double RIS-assisted MIMO communication systems over Rician fading channels with finite scatterers, spatial correlation, and the existence of a double-scattering link between the transceiver. First, the statistical information is driven in closed form for the aggregated channels, unveiling various influences of the system and environment on the average channel power gains. Next, we study two active and passive beamforming designs corresponding to two objectives. The first problem maximizes channel capacity by jointly optimizing the active precoding and combining matrices at the transceivers and passive beamforming at the double RISs subject to the transmitting power constraint. In order to tackle the inherently non-convex issue, we propose an efficient alternating optimization algorithm (AO) based on the alternating direction method of multipliers (ADMM). The second problem enhances communication reliability by jointly training the encoder and decoder at the transceivers and the phase shifters at the RISs. Each neural network representing a system entity in an end-to-end learning framework is proposed to minimize the symbol error rate of the detected symbols by controlling the transceiver and the RISs phase shifts. Numerical results verify our analysis and demonstrate the superior improvements of phase shift designs to boost system performance.




Abstract:This paper considers reconfigurable intelligent surface (RIS)-assisted point-to-point multiple-input multiple-output (MIMO) communication systems, where a transmitter communicates with a receiver through an RIS. Based on the main target of reducing the bit error rate (BER) and therefore enhancing the communication reliability, we study different model-based and data-driven (autoencoder) approaches. In particular, we consider a model-based approach that optimizes both active and passive optimization variables. We further propose a novel end-to-end data-driven framework, which leverages the recent advances in machine learning. The neural networks presented for conventional signal processing modules are jointly trained with the channel effects to minimize the bit error detection. Numerical results demonstrate that the proposed data-driven approach can learn to encode the transmitted signal via different channel realizations dynamically. In addition, the data-driven approach not only offers a significant gain in the BER performance compared to the other state-of-the-art benchmarks but also guarantees the performance when perfect channel information is unavailable.




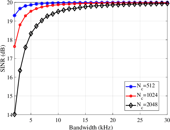
Abstract:This paper investigates the impacts of Inter-Channel Interference (ICI) effects on a shallow underwater acoustic (UWA) orthogonal frequency-division multiplexing (OFDM) communication system. Considering both the turbulence of the water surface and the roughness of the bottom, a stochastic geometry-based channel model utilized for a wide-band transmission scenario has been exploited to derive a simulation model. Since the system bandwidth and the sub-carrier spacing is very limited in the range of a few kHz, the channel capacity of a UWA system is severely suffered by the ICI effect. For further investigation, we construct the signal-to-noise-plus-interference ratio (SINR) based on the simulation model, then evaluate the channel capacity. Numerical results show that the various factors of a UWA-OFDM system as subcarriers, bandwidth, and OFDM symbols affect the channel capacity under the different Doppler frequencies. Those observations give hints to select the good parameters for UWA-OFDM systems.




Abstract:Motivated by the difficulty in presenting computational results, especially when the results are a collection of atoms in a logical language, to users, who are not proficient in computer programming and/or the logical representation of the results, we propose a system for automatic generation of natural language descriptions for applications targeting mainstream users. Differently from many earlier systems with the same aim, the proposed system does not employ templates for the generation task. It assumes that there exist some natural language sentences in the application domain and uses this repository for the natural language description. It does not require, however, a large corpus as it is often required in machine learning approaches. The systems consist of two main components. The first one aims at analyzing the sentences and constructs a Grammatical Framework (GF) for given sentences and is implemented using the Stanford parser and an answer set program. The second component is for sentence construction and relies on GF Library. The paper includes two use cases to demostrate the capability of the system. As the sentence construction is done via GF, the paper includes a use case evaluation showing that the proposed system could also be utilized in addressing a challenge to create an abstract Wikipedia, which is recently discussed in the BlueSky session of the 2018 International Semantic Web Conference.