Abstract:We present CAMELS-ASTRID, the third suite of hydrodynamical simulations in the Cosmology and Astrophysics with MachinE Learning (CAMELS) project, along with new simulation sets that extend the model parameter space based on the previous frameworks of CAMELS-TNG and CAMELS-SIMBA, to provide broader training sets and testing grounds for machine-learning algorithms designed for cosmological studies. CAMELS-ASTRID employs the galaxy formation model following the ASTRID simulation and contains 2,124 hydrodynamic simulation runs that vary 3 cosmological parameters ($\Omega_m$, $\sigma_8$, $\Omega_b$) and 4 parameters controlling stellar and AGN feedback. Compared to the existing TNG and SIMBA simulation suites in CAMELS, the fiducial model of ASTRID features the mildest AGN feedback and predicts the least baryonic effect on the matter power spectrum. The training set of ASTRID covers a broader variation in the galaxy populations and the baryonic impact on the matter power spectrum compared to its TNG and SIMBA counterparts, which can make machine-learning models trained on the ASTRID suite exhibit better extrapolation performance when tested on other hydrodynamic simulation sets. We also introduce extension simulation sets in CAMELS that widely explore 28 parameters in the TNG and SIMBA models, demonstrating the enormity of the overall galaxy formation model parameter space and the complex non-linear interplay between cosmology and astrophysical processes. With the new simulation suites, we show that building robust machine-learning models favors training and testing on the largest possible diversity of galaxy formation models. We also demonstrate that it is possible to train accurate neural networks to infer cosmological parameters using the high-dimensional TNG-SB28 simulation set.




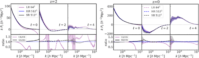
Abstract:In this work, we expand and test the capabilities of our recently developed super-resolution (SR) model to generate high-resolution (HR) realizations of the full phase-space matter distribution, including both displacement and velocity, from computationally cheap low-resolution (LR) cosmological N-body simulations. The SR model enhances the simulation resolution by generating 512 times more tracer particles, extending into the deeply non-linear regime where complex structure formation processes take place. We validate the SR model by deploying the model in 10 test simulations of box size 100 Mpc/h, and examine the matter power spectra, bispectra and 2D power spectra in redshift space. We find the generated SR field matches the true HR result at percent level down to scales of k ~ 10 h/Mpc. We also identify and inspect dark matter halos and their substructures. Our SR model generate visually authentic small-scale structures, that cannot be resolved by the LR input, and are in good statistical agreement with the real HR results. The SR model performs satisfactorily on the halo occupation distribution, halo correlations in both real and redshift space, and the pairwise velocity distribution, matching the HR results with comparable scatter, thus demonstrating its potential in making mock halo catalogs. The SR technique can be a powerful and promising tool for modelling small-scale galaxy formation physics in large cosmological volumes.




Abstract:Cosmological simulations of galaxy formation are limited by finite computational resources. We draw from the ongoing rapid advances in Artificial Intelligence (specifically Deep Learning) to address this problem. Neural networks have been developed to learn from high-resolution (HR) image data, and then make accurate super-resolution (SR) versions of different low-resolution (LR) images. We apply such techniques to LR cosmological N-body simulations, generating SR versions. Specifically, we are able to enhance the simulation resolution by generating 512 times more particles and predicting their displacements from the initial positions. Therefore our results can be viewed as new simulation realizations themselves rather than projections, e.g., to their density fields. Furthermore, the generation process is stochastic, enabling us to sample the small-scale modes conditioning on the large-scale environment. Our model learns from only 16 pairs of LR-HR simulations, and is then able to generate SR simulations that successfully reproduce the matter power spectrum and the halo mass function of the HR targets. We successfully deploy the model in a box 1000 times larger than the training simulation box, showing that high-resolution mock surveys can be generated rapidly. We conclude that AI assistance has the potential to revolutionize modeling of small-scale galaxy formation physics in large cosmological volumes.