



Abstract:By utilizing the fact that speaker identity and content vary on different time scales, \acrlong{fhvae} (\acrshort{fhvae}) uses a sequential latent variable and a segmental latent variable to symbolize these two attributes. Disentanglement is carried out by assuming the latent variables representing speaker and content follow sequence-dependent and sequence-independent priors. For the sequence-dependent prior, \acrshort{fhvae} assumes a Gaussian distribution with an utterance-scale varying mean and a fixed small variance. The training process promotes sequential variables getting close to the mean of its prior with small variance. However, this constraint is relatively weak. Therefore, we introduce contrastive learning in the \acrshort{fhvae} framework. The proposed method aims to make the sequential variables clustering when representing the same speaker, while distancing themselves as far as possible from those of other speakers. The structure of the framework has not been changed in the proposed method but only the training process, thus no more cost is needed during test. Voice conversion has been chosen as the application in this paper. Latent variable evaluations include speakerincrease verification and identification for the sequential latent variable, and speech recognition for the segmental latent variable. Furthermore, assessments of voice conversion performance are on the grounds of speaker verification and speech recognition experiments. Experiment results show that the proposed method improves both sequential and segmental feature extraction compared with \acrshort{fhvae}, and moderately improved voice conversion performance.




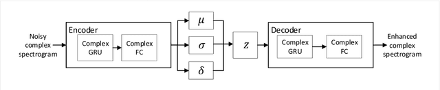
Abstract:Commonly-used methods in speech enhancement are based on short-time fourier transform (STFT) representation, in particular on the magnitude of the STFT. This is because phase is naturally unstructured and intractable, and magnitude has shown more importance in speech enhancement. Nevertheless, phase has shown its significance in some research and cannot be ignored. Complex neural networks, with their inherent advantage, provide a solution for complex spectrogram processing. Complex variational autoencoder (VAE), as an extension of vanilla \acrshort{vae}, has shown positive results in complex spectrogram representation. However, the existing work on complex \acrshort{vae} only uses linear layers and merely applies the model on direct spectra representation. This paper extends the linear complex \acrshort{vae} to a non-linear one. Furthermore, on account of the temporal property of speech signals, a complex recurrent \acrshort{vae} is proposed. The proposed model has been applied on speech enhancement. As far as we know, it is the first time that a complex generative model is applied to speech enhancement. Experiments are based on the TIMIT dataset, while speech intelligibility and speech quality have been evaluated. The results show that, for speech enhancement, the proposed method has better performance on speech intelligibility and comparable performance on speech quality.




Abstract:Disentangled representation learning aims to extract explanatory features or factors and retain salient information. Factorized hierarchical variational autoencoder (FHVAE) presents a way to disentangle a speech signal into sequential-level and segmental-level features, which represent speaker identity and speech content information, respectively. As a self-supervised objective, autoregressive predictive coding (APC), on the other hand, has been used in extracting meaningful and transferable speech features for multiple downstream tasks. Inspired by the success of these two representation learning methods, this paper proposes to integrate the APC objective into the FHVAE framework aiming at benefiting from the additional self-supervision target. The main proposed method requires neither more training data nor more computational cost at test time, but obtains improved meaningful representations while maintaining disentanglement. The experiments were conducted on the TIMIT dataset. Results demonstrate that FHVAE equipped with the additional self-supervised objective is able to learn features providing superior performance for tasks including speech recognition and speaker recognition. Furthermore, voice conversion, as one application of disentangled representation learning, has been applied and evaluated. The results show performance similar to baseline of the new framework on voice conversion.