Abstract:In an ordinal election, two candidates are said to be perfect clones if every voter ranks them adjacently. The independence of clones axiom then states that removing one of the two clones should not change the election outcome. This axiom has been extensively studied in social choice theory, and several voting rules are known to satisfy it (such as IRV, Ranked Pairs and Schulze). However, perfect clones are unlikely to occur in practice, especially for political elections with many voters. In this work, we study different notions of approximate clones in ordinal elections. Informally, two candidates are approximate clones in a preference profile if they are close to being perfect clones. We discuss two measures to quantify this proximity, and we show under which conditions the voting rules that are known to be independent of clones are also independent of approximate clones. In particular, we show that for elections with at least four candidates, none of these rules are independent of approximate clones in the general case. However, we find a more positive result for the case of three candidates. Finally, we conduct an empirical study of approximate clones and independence of approximate clones based on three real-world datasets: votes in local Scottish elections, votes in mini-jury deliberations, and votes of judges in figure skating competitions. We find that approximate clones are common in some contexts, and that the closest two candidates are to being perfect clones, the less likely their removal is to change the election outcome, especially for voting rules that are independent of perfect clones.
Abstract:We study committee elections from a perspective of finding the most conflicting candidates, that is, candidates that imply the largest amount of conflict, as per voter preferences. By proposing basic axioms to capture this objective, we show that none of the prominent multiwinner voting rules meet them. Consequently, we design committee voting rules compliant with our desiderata, introducing conflictual voting rules. A subsequent deepened analysis sheds more light on how they operate. Our investigation identifies various aspects of conflict, for which we come up with relevant axioms and quantitative measures, which may be of independent interest. We support our theoretical study with experiments on both real-life and synthetic data.




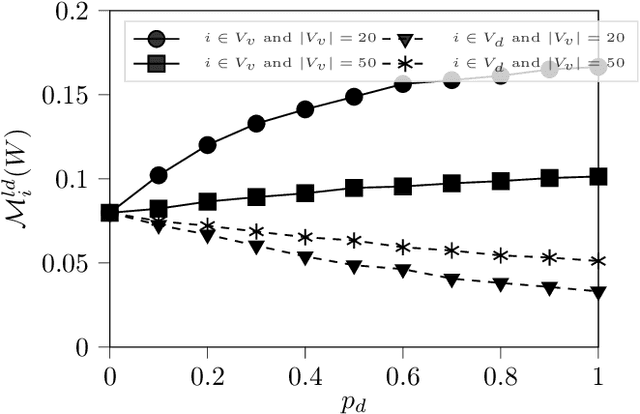
Abstract:In this paper, we introduce new power indices to measure the criticality of voters involved in different elections where delegations play a key role, namely, two variants of the proxy voting setting and a liquid democracy setting. First, we argue that our power indices are natural extensions of the Penrose-Banzhaf index in classic simple voting games, illustrating their intuitions. We show that recursive formulas can compute these indices for weighted voting games in pseudo-polynomial time. Last, we highlight theoretical properties and provide numerical results to illustrate how introducing delegation options modifies the voting power of voters.