


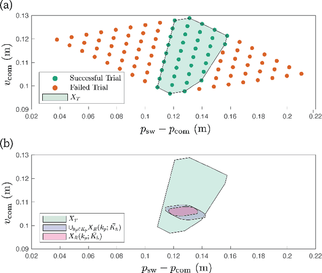
Abstract:People with lower-limb loss, the majority of which use passive prostheses, exhibit a high incidence of falls each year. Powered lower-limb prostheses have the potential to reduce fall rates by actively helping the user recover from a stumble, but the unpredictability of the human response makes it difficult to design controllers that ensure a successful recovery. This paper presents a method called TRIP-RTD (Trip Recovery in Prostheses via Reachability-based Trajectory Design) for online trajectory planning in a knee prosthesis during and after a stumble that can accommodate a set of possible predictions of human behavior. Using this predicted set of human behavior, the proposed method computes a parameterized reachable set of trajectories for the human-prosthesis system. To ensure safety at run-time, TRIP-RTD selects a trajectory for the prosthesis that guarantees that all possible states of the human-prosthesis system at touchdown arrive in the basin of attraction of the nominal behavior of the system. In simulated stumble experiments where a nominal phase-based controller was unable to help the system recover, TRIP-RTD produced trajectories in under 101 ms that led to successful recoveries for all feasible solutions found.




Abstract:This paper presents a soft-robotic platform for exploring the ecological relevance of non-locomotory movements via animal-robot interactions. Coral snakes (genus Micrurus) and their mimics use vigorous, non-locomotory, and arrhythmic thrashing to deter predation. There is variation across snake species in the duration and curvature of anti-predator thrashes, and it is unclear how these aspects of motion interact to contribute to snake survival. In this work, soft robots composed of fiber-reinforced elastomeric enclosures (FREEs) are developed to emulate the anti-predator behaviors of three genera of snake. Curvature and duration of motion are estimated for both live snakes and robots, providing a quantitative assessment of the robots' ability to emulate snake poses. The curvature values of the fabricated soft-robotic head, midsection, and tail segments are found to overlap with those exhibited by live snakes. Soft robot motion durations were less than or equal to those of snakes for all three genera. Additionally, combinations of segments were selected to emulate three specific snake genera with distinct anti-predatory behavior, producing curvature values that aligned well with live snake observations.




Abstract:Anterior cruciate ligament (ACL) reconstruction necessitates months of rehabilitation, during which a clinician evaluates whether a patient is ready to return to sports or occupation. Due to their time- and cost-intensive nature, these screenings to assess progress are unavailable to many. This paper introduces an automated, markerless, camera-based method for estimating rehabilitation criteria following ACL reconstruction. To evaluate the performance of this novel technique, data were collected weekly from 12 subjects as they used a leg press over the course of a 12-week rehabilitation period. The proposed camera-based method for estimating displacement and force was compared to encoder and force plate measurements. The leg press displacement and force values were estimated with 89.7% and 85.3% accuracy, respectively. These values were then used to calculate lower-limb symmetry and to track patient progress over time.