Abstract:A complex-valued convolutional network (convnet) implements the repeated application of the following composition of three operations, recursively applying the composition to an input vector of nonnegative real numbers: (1) convolution with complex-valued vectors followed by (2) taking the absolute value of every entry of the resulting vectors followed by (3) local averaging. For processing real-valued random vectors, complex-valued convnets can be viewed as "data-driven multiscale windowed power spectra," "data-driven multiscale windowed absolute spectra," "data-driven multiwavelet absolute values," or (in their most general configuration) "data-driven nonlinear multiwavelet packets." Indeed, complex-valued convnets can calculate multiscale windowed spectra when the convnet filters are windowed complex-valued exponentials. Standard real-valued convnets, using rectified linear units (ReLUs), sigmoidal (for example, logistic or tanh) nonlinearities, max. pooling, etc., do not obviously exhibit the same exact correspondence with data-driven wavelets (whereas for complex-valued convnets, the correspondence is much more than just a vague analogy). Courtesy of the exact correspondence, the remarkably rich and rigorous body of mathematical analysis for wavelets applies directly to (complex-valued) convnets.




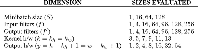
Abstract:We examine the performance profile of Convolutional Neural Network training on the current generation of NVIDIA Graphics Processing Units. We introduce two new Fast Fourier Transform convolution implementations: one based on NVIDIA's cuFFT library, and another based on a Facebook authored FFT implementation, fbfft, that provides significant speedups over cuFFT (over 1.5x) for whole CNNs. Both of these convolution implementations are available in open source, and are faster than NVIDIA's cuDNN implementation for many common convolutional layers (up to 23.5x for some synthetic kernel configurations). We discuss different performance regimes of convolutions, comparing areas where straightforward time domain convolutions outperform Fourier frequency domain convolutions. Details on algorithmic applications of NVIDIA GPU hardware specifics in the implementation of fbfft are also provided.