



Abstract:Error correcting codes~(ECCs) are indispensable for reliable transmission in communication systems. The recent advancements in deep learning have catalyzed the exploration of ECC decoders based on neural networks. Among these, transformer-based neural decoders have achieved state-of-the-art decoding performance. In this paper, we propose a novel Cross-attention Message-Passing Transformer~(CrossMPT). CrossMPT iteratively updates two types of input vectors (i.e., magnitude and syndrome vectors) using two masked cross-attention blocks. The mask matrices in these cross-attention blocks are determined by the code's parity-check matrix that delineates the relationship between magnitude and syndrome vectors. Our experimental results show that CrossMPT significantly outperforms existing neural network-based decoders, particularly in decoding low-density parity-check codes. Notably, CrossMPT also achieves a significant reduction in computational complexity, achieving over a 50\% decrease in its attention layers compared to the original transformer-based decoder, while retaining the computational complexity of the remaining layers.

Abstract:In communication and storage systems, error correction codes (ECCs) are pivotal in ensuring data reliability. As deep learning's applicability has broadened across diverse domains, there is a growing research focus on neural network-based decoders that outperform traditional decoding algorithms. Among these neural decoders, Error Correction Code Transformer (ECCT) has achieved the state-of-the-art performance, outperforming other methods by large margins. To further enhance the performance of ECCT, we propose two novel methods. First, leveraging the systematic encoding technique of ECCs, we introduce a new masking matrix for ECCT, aiming to improve the performance and reduce the computational complexity. Second, we propose a novel transformer architecture of ECCT called a double-masked ECCT. This architecture employs two different mask matrices in a parallel manner to learn more diverse features of the relationship between codeword bits in the masked self-attention blocks. Extensive simulation results show that the proposed double-masked ECCT outperforms the conventional ECCT, achieving the state-of-the-art decoding performance with significant margins.





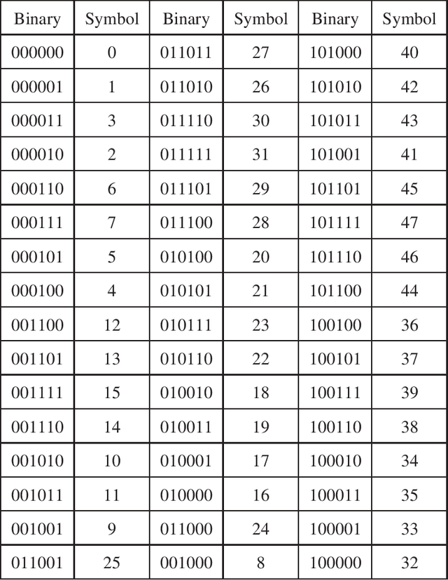
Abstract:In this paper, we propose a novel iterative encoding algorithm for DNA storage to satisfy both the GC balance and run-length constraints using a greedy algorithm. DNA strands with run-length more than three and the GC balance ratio far from 50\% are known to be prone to errors. The proposed encoding algorithm stores data at high information density with high flexibility of run-length at most $m$ and GC balance between $0.5\pm\alpha$ for arbitrary $m$ and $\alpha$. More importantly, we propose a novel mapping method to reduce the average bit error compared to the randomly generated mapping method, using a greedy algorithm. The proposed algorithm is implemented through iterative encoding, consisting of three main steps: randomization, M-ary mapping, and verification. It has an information density of 1.8616 bits/nt in the case of $m=3$, which approaches the theoretical upper bound of 1.98 bits/nt, while satisfying two constraints. Also, the average bit error caused by the one nt error is 2.3455 bits, which is reduced by $20.5\%$, compared to the randomized mapping.
