



Abstract:In our earlier work, we introduced the concept of Gene Regulatory Neural Network (GRNN), which utilizes natural neural network-like structures inherent in biological cells to perform computing tasks using chemical inputs. We define this form of chemical-based neural network as Wet TinyML. The GRNN structures are based on the gene regulatory network and have weights associated with each link based on the estimated interactions between the genes. The GRNNs can be used for conventional computing by employing an application-based search process similar to the Network Architecture Search. This study advances this concept by incorporating cell plasticity, to further exploit natural cell's adaptability, in order to diversify the GRNN search that can match larger spectrum as well as dynamic computing tasks. As an example application, we show that through the directed cell plasticity, we can extract the mathematical regression evolution enabling it to match to dynamic system applications. We also conduct energy analysis by comparing the chemical energy of the GRNN to its silicon counterpart, where this analysis includes both artificial neural network algorithms executed on von Neumann architecture as well as neuromorphic processors. The concept of Wet TinyML can pave the way for the new emergence of chemical-based, energy-efficient and miniature Biological AI.




Abstract:The smart textile and wearables sector is looking towards advancing technologies to meet both industry, consumer and new emerging innovative textile application demands, within a fast paced textile industry. In parallel inspiration based on the biological neural workings of the human brain is driving the next generation of artificial intelligence. Artificial intelligence inspired hardware (neuromorphic computing) and software modules mimicking the processing capabilities and properties of neural networks and the human nervous system are taking shape. The textile sector needs to actively look at such emerging and new technologies taking inspiration from their workings and processing methods in order to stimulate new and innovative embedded intelligence advancements in the etextile world. This emerging next generation of Artificial intelligence(AI) is rapidly gaining interest across varying industries (textile, medical, automotive, aerospace, military). How such properties can inspire and drive advancements within the etextiles sector needs to be considered. This paper will provide an insight into current nanotechnology and artificial intelligence advancements in the etextiles domain before focusing specifically on the future vision and direction around the potential application of neuromorphic computing and spiking neural network inspired AI technologies within the textile sector. We investigate the core architectural elements of artificial neural networks, neuromorphic computing and how such neuroscience inspired technologies could impact and inspire change and new research developments within the e-textile sector.




Abstract:Bacterial cells are sensitive to a range of external signals used to learn the environment. These incoming external signals are then processed using a Gene Regulatory Network (GRN), exhibiting similarities to modern computing algorithms. An in-depth analysis of gene expression dynamics suggests an inherited Gene Regulatory Neural Network (GRNN) behavior within the GRN that enables the cellular decision-making based on received signals from the environment and neighbor cells. In this study, we extract a sub-network of \textit{Pseudomonas aeruginosa} GRN that is associated with one virulence factor: pyocyanin production as a use case to investigate the GRNN behaviors. Further, using Graph Neural Network (GNN) architecture, we model a single species biofilm to reveal the role of GRNN dynamics on ecosystem-wide decision-making. Varying environmental conditions, we prove that the extracted GRNN computes input signals similar to natural decision-making process of the cell. Identifying of neural network behaviors in GRNs may lead to more accurate bacterial cell activity predictive models for many applications, including human health-related problems and agricultural applications. Further, this model can produce data on causal relationships throughout the network, enabling the possibility of designing tailor-made infection-controlling mechanisms. More interestingly, these GRNNs can perform computational tasks for bio-hybrid computing systems.




Abstract:Artificial Intelligence (AI) and Machine Learning (ML) are weaving their way into the fabric of society, where they are playing a crucial role in numerous facets of our lives. As we witness the increased deployment of AI and ML in various types of devices, we benefit from their use into energy-efficient algorithms for low powered devices. In this paper, we investigate a scale and medium that is far smaller than conventional devices as we move towards molecular systems that can be utilized to perform machine learning functions, i.e., Molecular Machine Learning (MML). Fundamental to the operation of MML is the transport, processing, and interpretation of information propagated by molecules through chemical reactions. We begin by reviewing the current approaches that have been developed for MML, before we move towards potential new directions that rely on gene regulatory networks inside biological organisms as well as their population interactions to create neural networks. We then investigate mechanisms for training machine learning structures in biological cells based on calcium signaling and demonstrate their application to build an Analog to Digital Converter (ADC). Lastly, we look at potential future directions as well as challenges that this area could solve.




Abstract:This article uses Deep Learning technologies to safeguard DNA sequencing against Bio-Cyber attacks. We consider a hybrid attack scenario where the payload is encoded into a DNA sequence to activate a Trojan malware implanted in a software tool used in the sequencing pipeline in order to allow the perpetrators to gain control over the resources used in that pipeline during sequence analysis. The scenario considered in the paper is based on perpetrators submitting synthetically engineered DNA samples that contain digitally encoded IP address and port number of the perpetrators machine in the DNA. Genetic analysis of the samples DNA will decode the address that is used by the software trojan malware to activate and trigger a remote connection. This approach can open up to multiple perpetrators to create connections to hijack the DNA sequencing pipeline. As a way of hiding the data, the perpetrators can avoid detection by encoding the address to maximise similarity with genuine DNAs, which we showed previously. However, in this paper we show how Deep Learning can be used to successfully detect and identify the trigger encoded data, in order to protect a DNA sequencing pipeline from trojan attacks. The result shows nearly up to 100% accuracy in detection in such a novel Trojan attack scenario even after applying fragmentation encryption and steganography on the encoded trigger data. In addition, feasibility of designing and synthesizing encoded DNA for such Trojan payloads is validated by a wet lab experiment.




Abstract:Climate change resulting from the misuse and over-exploitation of natural resources has affected and continues to impact the planet's ecosystem. This pressing issue is leading to the development of novel technologies to sense and measure damaging gas emissions. In parallel, the accelerating evolution of wireless communication networks is resulting in wider deployment of mobile telecommunication infrastructure. With 5G technologies already being commercially deployed, the research community is starting research into new technologies for 6G. One of the visions for 6G is the use of the terahertz (THz) spectrum. In this paper, we propose and explore the use of THz spectrum simultaneously for ultrabroadband communication and atmospheric sensing by leveraging the absorption of THz signals. Through the use of machine learning, we present preliminary results on how we can analyze signal path loss and power spectral density to infer the concentration of different climate-impacting gases. Our vision is to demonstrate how 6G infrastructure can provide sensor data for climate change sensing, in addition to its primary purpose of wireless communication.




Abstract:The recent COVID-19 pandemic has driven researchers from different spectrum to develop novel solutions that can improve detection and understanding of SARS-CoV-2 virus. In this article we propose the use of Intelligent Reflector Surface (IRS) emitting terahertz signals to detect airborne respiratory aerosol cloud that are secreted from people. Our proposed approach makes use of future IRS infrastructure to extend beyond communication functionality by adding environmental scanning for aerosol clouds. Simulations have also been conducted to analyze the accuracy of aerosol cloud detection based on a signal scanning and path optimization algorithm. Utilizing IRS for detecting respiratory aerosol cloud can lead to new added value of telecommunication infrastructures for sensor monitoring data that can be used for public health.




Abstract:Biocomputing systems based on engineered bacteria can lead to novel tools for environmental monitoring and detection of metabolic diseases. In this paper, we propose a Bacterial Molecular Computing on a Chip (BMCoC) using microfluidic and electrochemical sensing technologies. The computing can be flexibly integrated into the chip, but we focus on engineered bacterial AND Boolean logic gate and ON-OFF switch sensors that produces secondary signals to change the pH and dissolved oxygen concentrations. We present a prototype with experimental results that shows the electrochemical sensors can detect small pH and dissolved oxygen concentration changes created by the engineered bacterial populations' molecular signals. Additionally, we present a theoretical model analysis of the BMCoC computation reliability when subjected to unwanted effects, i.e., molecular signal delays and noise, and electrochemical sensors threshold settings that are based on either standard or blind detectors. Our numerical analysis found that the variations in the production delay and the molecular output signal concentration can impact on the computation reliability for the AND logic gate and ON-OFF switch. The molecular communications of synthetic engineered cells for logic gates integrated with sensing systems can lead to a new breed of biochips that can be used for numerous diagnostic applications.




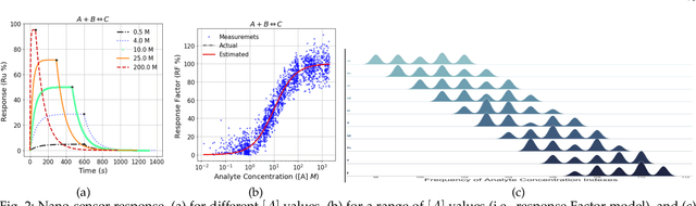
Abstract:The use of Internet of Things (IoT) with the Internet of Nano Things (IoNT) can further expand decision making systems (DMS) to improve reliability as it provides a new spectrum of more granular level data to make decisions. However, growing concerns such as data security, transparency and processing capability challenge their use in real-world applications. DMS integrated with Block Chain (BC) technology can contribute immensely to overcome such challenges. The use of IoNT and IoT along with BC for making DMS has not yet been investigated. This study proposes a BC-powered IoNT (BC-IoNT) system for sensing chemicals level in the context of farm management. This is a critical application for smart farming, which aims to improve sustainable farm practices through controlled delivery of chemicals. BC-IoNT system includes a novel machine learning model formed by using the Langmuir molecular binding model and the Bayesian theory, and is used as a smart contract for sensing the level of the chemicals. A credit model is used to quantify the traceability and credibility of farms to determine if they are compliant with the chemical standards. The accuracy of detecting the chemicals of the distributed BC-IoNT approach was >90% and the centralized approach was <80%. Also, the efficiency of sensing the level of chemicals depends on the sampling frequency and variability in chemical level among farms.




Abstract:Data storage is one of the main computing issues of this century. Not only storage devices are converging to strict physical limits, but also the amount of data generated by users is growing at an unbelievable rate. To face these challenges, data centres grew constantly over the past decades. However, this growth comes with a price, particularly from the environmental point of view. Among various promising media, DNA is one of the most fascinating candidate. In our previous work, we have proposed an automated archival architecture which uses bioengineered bacteria to store and retrieve data, previously encoded into DNA. This storage technique is one example of how biological media can deliver power-efficient storing solutions. The similarities between these biological media and classical ones can also be a drawback, as malicious parties might replicate traditional attacks on the former archival system, using biological instruments and techniques. In this paper, first we analyse the main characteristics of our storage system and the different types of attacks that could be executed on it. Then, aiming at identifying on-going attacks, we propose and evaluate detection techniques, which rely on traditional metrics and machine learning algorithms. We identify and adapt two suitable metrics for this purpose, namely generalized entropy and information distance. Moreover, our trained models achieve an AUROC over 0.99 and AUPRC over 0.91.