



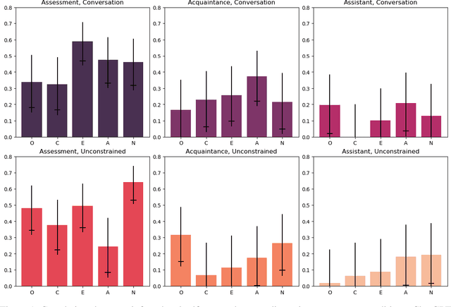
Abstract:This study investigates the capacity of Large Language Models (LLMs) to infer the Big Five personality traits from free-form user interactions. The results demonstrate that a chatbot powered by GPT-4 can infer personality with moderate accuracy, outperforming previous approaches drawing inferences from static text content. The accuracy of inferences varied across different conversational settings. Performance was highest when the chatbot was prompted to elicit personality-relevant information from users (mean r=.443, range=[.245, .640]), followed by a condition placing greater emphasis on naturalistic interaction (mean r=.218, range=[.066, .373]). Notably, the direct focus on personality assessment did not result in a less positive user experience, with participants reporting the interactions to be equally natural, pleasant, engaging, and humanlike across both conditions. A chatbot mimicking ChatGPT's default behavior of acting as a helpful assistant led to markedly inferior personality inferences and lower user experience ratings but still captured psychologically meaningful information for some of the personality traits (mean r=.117, range=[-.004, .209]). Preliminary analyses suggest that the accuracy of personality inferences varies only marginally across different socio-demographic subgroups. Our results highlight the potential of LLMs for psychological profiling based on conversational interactions. We discuss practical implications and ethical challenges associated with these findings.





Abstract:The present paper introduces a novel approach to studying social media habits through predictive modeling of sequential smartphone user behaviors. While much of the literature on media and technology habits has relied on self-report questionnaires and simple behavioral frequency measures, we examine an important yet understudied aspect of media and technology habits: their embeddedness in repetitive behavioral sequences. Leveraging Long Short-Term Memory (LSTM) and transformer neural networks, we show that (i) social media use is predictable at the within and between-person level and that (ii) there are robust individual differences in the predictability of social media use. We examine the performance of several modeling approaches, including (i) global models trained on the pooled data from all participants, (ii) idiographic person-specific models, and (iii) global models fine-tuned on person-specific data. Neither person-specific modeling nor fine-tuning on person-specific data substantially outperformed the global models, indicating that the global models were able to represent a variety of idiosyncratic behavioral patterns. Additionally, our analyses reveal that the person-level predictability of social media use is not substantially related to the frequency of smartphone use in general or the frequency of social media use, indicating that our approach captures an aspect of habits that is distinct from behavioral frequency. Implications for habit modeling and theoretical development are discussed.




Abstract:The success of online social platforms hinges on their ability to predict and understand user behavior at scale. Here, we present data suggesting that context-aware modeling approaches may offer a holistic yet lightweight and potentially privacy-preserving representation of user engagement on online social platforms. Leveraging deep LSTM neural networks to analyze more than 100 million Snapchat sessions from almost 80.000 users, we demonstrate that patterns of active and passive use are predictable from past behavior (R2=0.345) and that the integration of context information substantially improves predictive performance compared to the behavioral baseline model (R2=0.522). Features related to smartphone connectivity status, location, temporal context, and weather were found to capture non-redundant variance in user engagement relative to features derived from histories of in-app behaviors. Further, we show that a large proportion of variance can be accounted for with minimal behavioral histories if momentary context information is considered (R2=0.44). These results indicate the potential of context-aware approaches for making models more efficient and privacy-preserving by reducing the need for long data histories. Finally, we employ model explainability techniques to glean preliminary insights into the underlying behavioral mechanisms. Our findings are consistent with the notion of context-contingent, habit-driven patterns of active and passive use, underscoring the value of contextualized representations of user behavior for predicting user engagement on social platforms.





Abstract:Every step we take in the digital world leaves behind a record of our behavior; a digital footprint. Research has suggested that algorithms can translate these digital footprints into accurate estimates of psychological characteristics, including personality traits, mental health or intelligence. The mechanisms by which AI generates these insights, however, often remain opaque. In this paper, we show how Explainable AI (XAI) can help domain experts and data subjects validate, question, and improve models that classify psychological traits from digital footprints. We elaborate on two popular XAI methods (rule extraction and counterfactual explanations) in the context of Big Five personality predictions (traits and facets) from financial transactions data (N = 6,408). First, we demonstrate how global rule extraction sheds light on the spending patterns identified by the model as most predictive for personality, and discuss how these rules can be used to explain, validate, and improve the model. Second, we implement local rule extraction to show that individuals are assigned to personality classes because of their unique financial behavior, and that there exists a positive link between the model's prediction confidence and the number of features that contributed to the prediction. Our experiments highlight the importance of both global and local XAI methods. By better understanding how predictive models work in general as well as how they derive an outcome for a particular person, XAI promotes accountability in a world in which AI impacts the lives of billions of people around the world.
