



Abstract:There is significant recent interest in designing new modulation schemes for doubly-selective channels with large delay and Doppler spreads, where legacy modulation schemes based on time-frequency signal representations do not perform well. In this paper, we develop a framework for analyzing such modulations using two characteristics -- non-selectivity and predictability -- which directly relate to the diversity and spectral efficiency that the modulations achieve. We show that modulations in the delay-Doppler, chirp and time-sequency domains are non-selective, predictable and equivalent to one another, whereas time-frequency modulations are selective and non-predictable.
Abstract:Polarimetry, which is the ability to measure the scattering response of the environment across orthogonal polarizations, is fundamental to enhancing wireless communication and radar system performance. In this paper, we utilize the Zak-OTFS modulation to enable instantaneous polarimetry within a single transmission frame. We transmit a Zak-OTFS carrier waveform and a spread carrier waveform mutually unbiased to it simultaneously over orthogonal polarizations. The mutual unbiasedness of the two waveforms enables the receiver to estimate the full polarimetric response of the scattering environment from a single received frame. Unlike existing methods for instantaneous polarimetry with computational complexity quadratic in the time-bandwidth product, the proposed method enables instantaneous polarimetry at complexity that is only sublinear in the time-bandwidth product. Via numerical simulations, we show ideal polarimetric target detection and parameter estimation results with the proposed method, with improvements in performance and computational complexity over comparable baselines.
Abstract:4G/5G wireless standards use orthogonal frequency division multiplexing (OFDM) which is robust to frequency selectivity. Equalization is possible with a single tap filter, and low-complexity equalization makes OFDM an attractive physical layer. However the performance of OFDM degrades with mobility, since Doppler spreads introduce inter-carrier interference (ICI) between subcarriers and they are no longer orthogonal. Zak-transform based orthogonal time frequency space (Zak-OTFS) modulation has been shown to be robust to doubly selective channels. Zak-OTFS signals are formed in the delay-Doppler (DD) domain, converted to time domain (TD) for transmission and reception, then returned to the DD domain for processing. The received signal is a superposition of many attenuated copies since the doubly selective channel introduces delay and Doppler shifts. The received symbols are more difficult to equalize since they are subject to interference along both delay and Doppler axes. In this paper, we propose a new low-complexity method of equalizing Zak-OTFS in the frequency domain (FD). We derive the FD system model and show that it is unitarily equivalent to the DD system model. We show that the channel matrix in the FD is banded, making it possible to apply conjugate gradient methods to reduce the complexity of equalization. We show that complexity of FD equalization is linear in the dimension of a Zak-OTFS frame. For comparison the complexity of naive MMSE equalization is cubic in the frame dimension. Through numerical simulations we show that FD equalization of Zak-OTFS achieves similar performance as equalization in DD domain.
Abstract:An attractive feature of spread spectrum technologies such as code division multiple access (CDMA) is that it is harder to intercept or jam signals, and this feature was lost when orthogonal frequency domain modulation prevailed over CDMA in wireless standards. Legacy spread carrier waveforms are not matched to delay and Doppler shifts characteristic of 6G wireless environments, and this makes equalization very challenging. Zak-OTFS modulation is a communication framework that parameterizes the wireless channel in the delay-Doppler (DD) domain, where the parameters map directly to physical attributes of the scatterers that comprise the scattering environment. Hence, the channel can be efficiently acquired and equalized. The Zak-OTFS carrier is a pulse in the DD domain, and the Zak transform converts it to a pulse train modulated by a tone (pulsone) in the time domain. The pulsone waveform is localized rather than spread, and it suffers from high PAPR. We describe how to transform Zak-OTFS into a spread spectrum communication system, where the spread carrier waveforms have low PAPR and are matched to the delay and Doppler characteristics of the wireless channel. This transformation is realized by a unitary transform that is a generalization of the discrete affine Fourier transform. The transform maps a pulsone to a time domain waveform which yields a CAZAC sequence after sampling. The family of CAZAC sequences includes the Zadoff-Chu sequences incorporated in LTE and 5G-NR standards. We describe the end-to-end time-domain transceiver signal processing, comprising channel estimation and data demodulation, for the proposed system. We quantify system performance through BER simulations using a six-path Veh-A channel model, showing that the proposed system achieves similar uncoded BER as pulsone-based Zak-OTFS, where the PAPR of each spread carrier waveform is only 3.58 dB.




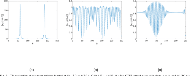
Abstract:Waveforms with ideal ambiguity functions are fundamental to integrated sensing and communication, to active sensing (radar), and to uplink multiple access. We describe a general method of constructing waveforms using the discrete Zak transform (DZT) to convert sequences of length $MN$ in the time domain to waveforms in the delay-Doppler (DD) domain, each of which is defined by an $M\times N$ quasi-periodic array. The DZT preserves inner products, and we show that phase coded waveforms used in radar (CAZAC sequences) determine noise-like waveforms in the DD domain, each with low Peak to Average Power Ratio. In a Zak-OTFS communication system, we show that these waveforms are mutually unbiased with respect to every carrier and use them to integrate sensing and communication as spread pilots. We view each waveform as a linear combination of Zak-OTFS carriers and show that the self-ambiguity function is supported on a discrete line in the integers modulo $MN$. The sidelobes are significantly lower than the original CAZAC sequence, and the advantage of discrete support is better localization/resolution in delay and Doppler compared with standard methods based on chirps or tones. We show that the absolute value of the cross-ambiguity function for pairs of waveforms in the same family is small and constant. This property makes the waveforms ideal preambles in the 2-step RACH protocol introduced in Release 15, 3GPP to enable grant-free multiple access. The characteristics of the cross-ambiguity function make it possible to simultaneously detect multiple preambles in the presence of mobility and delay spread.




Abstract:Current wireless infrastructure is optimized to support downlink applications. This paper anticipates the emergence of applications where engineering focus shifts from downlink to uplink. The current paradigm of scheduling users on reserved uplink resources is not able to deal efficiently with unpredictable traffic patterns. As a result, 3GPP introduced the 2-step RACH as a mechanism to enable grant-free (random) initial access. The first of the two steps is preamble detection in a RACH slot, and in this paper we describe a low-complexity algorithm for simultaneous detection of multiple preambles in the presence of mobility and delay spread. We provide a pathway to standards adoption by choosing ZC sequences as preambles, as ZC sequences already appear in 5G standards. We construct preambles by using the discrete Zak transform to pass from a ZC sequence of length MN in the TD to a quasi-periodic MxN array in the DD domain. There are MN quasi-periodic Dirac pulses, each corresponding to a Zak-OTFS carrier waveform, and the ZC preamble is simply the corresponding sum of Zak-OTFS carrier waveforms. We detect multiple preambles in the presence of mobility and delay spread by sampling the received signal on the MxN period grid in the DD domain. We approach detection as a compressed sensing problem. We represent a preamble as a column of length MN in the DD domain and apply discrete shifts in delay and Doppler to produce a block with O(MN) columns in the compressed sensing matrix. The superposition of multiple preambles determines a block sparse sum of columns in the sensing matrix. The correlation properties of ZC sequences result in a highly structured compressed sensing matrix, making it possible to identify constituent preambles using OST, which has complexity O(M^3N^3). In this paper, we describe an algorithm with complexity that is O(M^2N^2) in the size of an individual column.




Abstract:Much of the engineering behind current wireless systems has focused on designing an efficient and high-throughput downlink to support human-centric communication such as video streaming and internet browsing. This paper looks ahead to design of the uplink, anticipating the emergence of machine-type communication (MTC) and the confluence of sensing, communication, and distributed learning. We demonstrate that grant-free multiple access is possible even in the presence of highly time-varying channels. Our approach provides a pathway to standards adoption, since it is built on enhancing the 2-step random access procedure which is already part of the 5GNR standard. This 2-step procedure uses Zadoff-Chu (ZC) sequences as preambles that point to radio resources which are then used to upload data. We also use ZC sequences as preambles / pilots, but we process signals in the Delay-Doppler (DD) domain rather than the time-domain. We demonstrate that it is possible to detect multiple preambles in the presence of mobility and delay spread using a receiver with no knowledge of the channel other than the worst case delay and Doppler spreads. Our approach depends on the mathematical properties of ZC sequences in the DD domain. We derive a closed form expression for ZC pilots in the DD domain, we characterize the possible self-ambiguity functions, and we determine the magnitude of the possible cross-ambiguity functions. These mathematical properties enable detection of multiple pilots through solution of a compressed sensing problem. The columns of the compressed sensing matrix are the translates of individual ZC pilots in delay and Doppler. We show that columns in the design matrix satisfy a coherence property that makes it possible to detect multiple preambles in a single Zak-OTFS subframe using One-Step Thresholding (OST), which is an algorithm with low complexity.




Abstract:In orthogonal time frequency space (OTFS) modulation, Zak transform approach is a natural approach for converting information symbols multiplexed in the DD domain directly to time domain for transmission, and vice versa at the receiver. Past research on OTFS has primarily considered a two-step approach where DD domain symbols are first converted to time-frequency domain which are then converted to time domain for transmission, and vice versa at the receiver. The Zak transform approach can offer performance and complexity benefits compared to the two-step approach. This paper presents an early investigation on the bit error performance of OTFS realized using discrete Zak transform (DZT). We develop a compact DD domain input-output relation for DZT-OTFS using matrix decomposition that is valid for both integer and fractional delay-Dopplers. We analyze the bit error performance of DZT-OTFS using pairwise error probability analysis and simulations. Simulation results show that 1) both DZT-OTFS and two-step OTFS perform better than OFDM, and 2) DZT-OTFS achieves better performance compared to two-step OTFS over a wide range of Doppler spreads.




Abstract:In this letter, we propose a learning based channel estimation scheme for orthogonal frequency division multiplexing (OFDM) systems in the presence of phase noise in doubly-selective fading channels. Two-dimensional (2D) convolutional neural networks (CNNs) are employed for effective training and tracking of channel variation in both frequency as well as time domain. The proposed network learns and estimates the channel coefficients in the entire time-frequency (TF) grid based on pilots sparsely populated in the TF grid. In order to make the network robust to phase noise (PN) impairment, a novel training scheme where the training data is rotated by random phases before being fed to the network is employed. Further, using the estimated channel coefficients, a simple and effective PN estimation and compensation scheme is devised. Numerical results demonstrate that the proposed network and PN compensation scheme achieve robust OFDM performance in the presence of phase noise.




Abstract:In time-varying fading channels, channel coefficients are estimated using pilot symbols that are transmitted every coherence interval. For channels with high Doppler spread, the rapid channel variations over time will require considerable bandwidth for pilot transmission, leading to poor throughput. In this paper, we propose a novel receiver architecture using deep recurrent neural networks (RNNs) that learns the channel variations and thereby reduces the number of pilot symbols required for channel estimation. Specifically, we design and train an RNN to learn the correlation in the time-varying channel and predict the channel coefficients into the future with good accuracy over a wide range of Dopplers and signal-to-noise ratios (SNR). The proposed training methodology enables accurate channel prediction through the use of techniques such as teacher-force training, early-stop, and reduction of learning rate on plateau. Also, the robustness of prediction for different Dopplers and SNRs is achieved by adapting the number of predictions into the future based on the Doppler and SNR. Numerical results show that good bit error performance is achieved by the proposed receiver in time-varying fading channels. We also propose a data decision driven receiver architecture using RNNs that further reduces the pilot overhead while maintaining good bit error performance.