



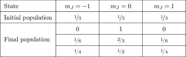
Abstract:The capabilities of modern artificial intelligence (AI) as a ``scientific collaborator'' are explored by engaging it with three nuanced problems in quantum optics: state populations in optical pumping, resonant transitions between decaying states (the Burshtein effect), and degenerate mirrorless lasing. Through iterative dialogue, the authors observe that AI models--when prompted and corrected--can reason through complex scenarios, refine their answers, and provide expert-level guidance, closely resembling the interaction with an adept colleague. The findings highlight that AI democratizes access to sophisticated modeling and analysis, shifting the focus in scientific practice from technical mastery to the generation and testing of ideas, and reducing the time for completing research tasks from days to minutes.




Abstract:Active Learning is a very common yet powerful framework for iteratively and adaptively sampling subsets of the unlabeled sets with a human in the loop with the goal of achieving labeling efficiency. Most real world datasets have imbalance either in classes and slices, and correspondingly, parts of the dataset are rare. As a result, there has been a lot of work in designing active learning approaches for mining these rare data instances. Most approaches assume access to a seed set of instances which contain these rare data instances. However, in the event of more extreme rareness, it is reasonable to assume that these rare data instances (either classes or slices) may not even be present in the seed labeled set, and a critical need for the active learning paradigm is to efficiently discover these rare data instances. In this work, we provide an active data discovery framework which can mine unknown data slices and classes efficiently using the submodular conditional gain and submodular conditional mutual information functions. We provide a general algorithmic framework which works in a number of scenarios including image classification and object detection and works with both rare classes and rare slices present in the unlabeled set. We show significant accuracy and labeling efficiency gains with our approach compared to existing state-of-the-art active learning approaches for actively discovering these rare classes and slices.




Abstract:Deep neural networks based object detectors have shown great success in a variety of domains like autonomous vehicles, biomedical imaging, etc. It is known that their success depends on a large amount of data from the domain of interest. While deep models often perform well in terms of overall accuracy, they often struggle in performance on rare yet critical data slices. For example, data slices like "motorcycle at night" or "bicycle at night" are often rare but very critical slices for self-driving applications and false negatives on such rare slices could result in ill-fated failures and accidents. Active learning (AL) is a well-known paradigm to incrementally and adaptively build training datasets with a human in the loop. However, current AL based acquisition functions are not well-equipped to tackle real-world datasets with rare slices, since they are based on uncertainty scores or global descriptors of the image. We propose TALISMAN, a novel framework for Targeted Active Learning or object detectIon with rare slices using Submodular MutuAl iNformation. Our method uses the submodular mutual information functions instantiated using features of the region of interest (RoI) to efficiently target and acquire data points with rare slices. We evaluate our framework on the standard PASCAL VOC07+12 and BDD100K, a real-world self-driving dataset. We observe that TALISMAN outperforms other methods by in terms of average precision on rare slices, and in terms of mAP.