TAU
Abstract:Multi-component datasets with intricate dependencies, like industrial assemblies or multi-modal imaging, challenge current generative modeling techniques. Existing Multi-component Variational AutoEncoders typically rely on simplified aggregation strategies, neglecting critical nuances and consequently compromising structural coherence across generated components. To explicitly address this gap, we introduce the Gaussian Markov Random Field Multi-Component Variational AutoEncoder , a novel generative framework embedding Gaussian Markov Random Fields into both prior and posterior distributions. This design choice explicitly models cross-component relationships, enabling richer representation and faithful reproduction of complex interactions. Empirically, our GMRF MCVAE achieves state-of-the-art performance on a synthetic Copula dataset specifically constructed to evaluate intricate component relationships, demonstrates competitive results on the PolyMNIST benchmark, and significantly enhances structural coherence on the real-world BIKED dataset. Our results indicate that the GMRF MCVAE is especially suited for practical applications demanding robust and realistic modeling of multi-component coherence
Abstract:As deep generative models proliferate across the AI landscape, industrial practitioners still face critical yet unanswered questions about which deep generative models best suit complex manufacturing design tasks. This work addresses this question through a complete study of five representative models (Variational Autoencoder, Generative Adversarial Network, multimodal Variational Autoencoder, Denoising Diffusion Probabilistic Model, and Multinomial Diffusion Model) on industrial tire architecture generation. Our evaluation spans three key industrial scenarios: (i) unconditional generation of complete multi-component designs, (ii) component-conditioned generation (reconstructing architectures from partial observations), and (iii) dimension-constrained generation (creating designs that satisfy specific dimensional requirements). To enable discrete diffusion models to handle conditional scenarios, we introduce categorical inpainting, a mask-aware reverse diffusion process that preserves known labels without requiring additional training. Our evaluation employs geometry-aware metrics specifically calibrated for industrial requirements, quantifying spatial coherence, component interaction, structural connectivity, and perceptual fidelity. Our findings reveal that diffusion models achieve the strongest overall performance; a masking-trained VAE nonetheless outperforms the multimodal variant MMVAE\textsuperscript{+} on nearly all component-conditioned metrics, and within the diffusion family MDM leads in-distribution whereas DDPM generalises better to out-of-distribution dimensional constraints.




Abstract:Recent advancements in multimodal Variational AutoEncoders (VAEs) have highlighted their potential for modeling complex data from multiple modalities. However, many existing approaches use relatively straightforward aggregating schemes that may not fully capture the complex dynamics present between different modalities. This work introduces a novel multimodal VAE that incorporates a Markov Random Field (MRF) into both the prior and posterior distributions. This integration aims to capture complex intermodal interactions more effectively. Unlike previous models, our approach is specifically designed to model and leverage the intricacies of these relationships, enabling a more faithful representation of multimodal data. Our experiments demonstrate that our model performs competitively on the standard PolyMNIST dataset and shows superior performance in managing complex intermodal dependencies in a specially designed synthetic dataset, intended to test intricate relationships.




Abstract:Generative design is an increasingly important tool in the industrial world. It allows the designers and engineers to easily explore vast ranges of design options, providing a cheaper and faster alternative to the trial and failure approaches. Thanks to the flexibility they offer, Deep Generative Models are gaining popularity amongst Generative Design technologies. However, developing and evaluating these models can be challenging. The field lacks accessible benchmarks, in order to evaluate and compare objectively different Deep Generative Models architectures. Moreover, vanilla Deep Generative Models appear to be unable to accurately generate multi-components industrial systems that are controlled by latent design constraints. To address these challenges, we propose an industry-inspired use case that incorporates actual industrial system characteristics. This use case can be quickly generated and used as a benchmark. We propose a Meta-VAE capable of producing multi-component industrial systems and showcase its application on the proposed use case.



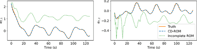
Abstract:Reduced order modeling methods are often used as a mean to reduce simulation costs in industrial applications. Despite their computational advantages, reduced order models (ROMs) often fail to accurately reproduce complex dynamics encountered in real life applications. To address this challenge, we leverage NeuralODEs to propose a novel ROM correction approach based on a time-continuous memory formulation. Finally, experimental results show that our proposed method provides a high level of accuracy while retaining the low computational costs inherent to reduced models.