Abstract:Deep learning networks excel at classification, yet identifying minimal architectures that reliably solve a task remains challenging. We present a computational methodology for systematically exploring and analyzing the relationships among convergence, pruning, and quantization. The workflow first performs a structured design sweep across a large set of architectures, then evaluates convergence behavior, pruning sensitivity, and quantization robustness on representative models. Focusing on well-known image classification of increasing complexity, and across Deep Neural Networks, Convolutional Neural Networks, and Vision Transformers, our initial results show that, despite architectural diversity, performance is largely invariant and learning dynamics consistently exhibit three regimes: unstable, learning, and overfitting. We further characterize the minimal learnable parameters required for stable learning, uncover distinct convergence and pruning phases, and quantify the effect of reduced numeric precision on trainable parameters. Aligning with intuition, the results confirm that deeper architectures are more resilient to pruning than shallower ones, with parameter redundancy as high as 60%, and quantization impacts models with fewer learnable parameters more severely and has a larger effect on harder image datasets. These findings provide actionable guidance for selecting compact, stable models under pruning and low-precision constraints in image classification.




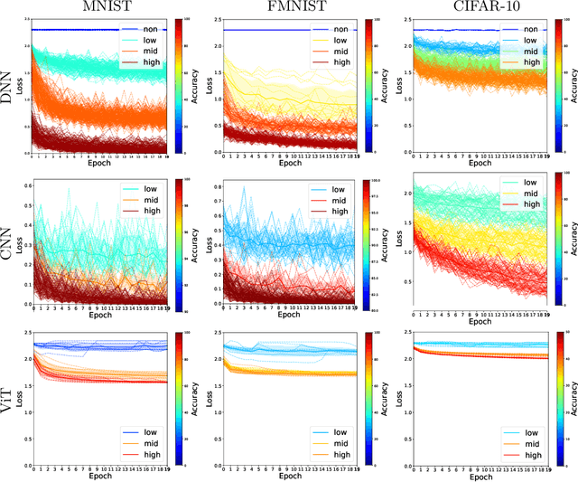
Abstract:We scrutinize the structural and operational aspects of deep learning models, particularly focusing on the nuances of learnable parameters (weight) statistics, distribution, node interaction, and visualization. By establishing correlations between variance in weight patterns and overall network performance, we investigate the varying (optimal and suboptimal) performances of various deep-learning models. Our empirical analysis extends across widely recognized datasets such as MNIST, Fashion-MNIST, and CIFAR-10, and various deep learning models such as deep neural networks (DNNs), convolutional neural networks (CNNs), and vision transformer (ViT), enabling us to pinpoint characteristics of learnable parameters that correlate with successful networks. Through extensive experiments on the diverse architectures of deep learning models, we shed light on the critical factors that influence the functionality and efficiency of DNNs. Our findings reveal that successful networks, irrespective of datasets or models, are invariably similar to other successful networks in their converged weights statistics and distribution, while poor-performing networks vary in their weights. In addition, our research shows that the learnable parameters of widely varied deep learning models such as DNN, CNN, and ViT exhibit similar learning characteristics.