Abstract:The computation of positioning, navigation and timing (PNT) via signal of opportunity (SOP), where signals originally transmitted for communication, such as 5G, Wi-Fi, or DVB-S, are exploited due to their ubiquity and spectral characteristics, is an emerging research field. However, relying on these signals presents challenges, including limited knowledge of the signal modulation and the need to identify recurring sequences for correlation. We offer a guide to implement a receiver capable of capturing broadband downlink Ku-band signals from low Earth orbit (LEO) satellites (e.g., Starlink and OneWeb) and estimating the recurring symbols for SOP measurements. The methodology integrates recent approaches in the literature, highlighting the most effective aspects while guiding the replication of experiments even under limitations on the front-end gain and bandwidth. Using the proposed model, we can identify recurring symbols transmitted by Starlink satellites, which are then used to collect Doppler shift measurements over a 600 s interval. A position, velocity, and time (PVT) solution is also computed via least squares (LS), which achieves a positioning error of approximately 268 m after a post-fit refinement.




Abstract:To ensure the authenticity of navigation data, Galileo Open Service navigation message authentication (OSNMA) requires loose synchronization between the receiver clock and the system time. This means that during the period between clock calibrations, the receiver clock error needs to be smaller than a pre-defined threshold, currently up to 165s for OSNMA. On the other hand, relying on the PVT solution to steer the receiver clock or correct its bias may not be possible since this would depend on the very same signals we intend to authenticate. This work aims to investigate the causes of the frequency accuracy loss leading to clock errors and to build a model that, from the datasheet of a real-time clock (RTC) device, allows to bound the error clock during a certain period. The model's main contributors are temperature changes, long-term aging, and offset at calibration, but it includes other factors. We then apply the model to several RTCs from different manufacturers and bound the maximum error for certain periods, with a focus on the two-year between-calibration period expected for the smart tachograph, an automotive application that will integrate OSNMA.




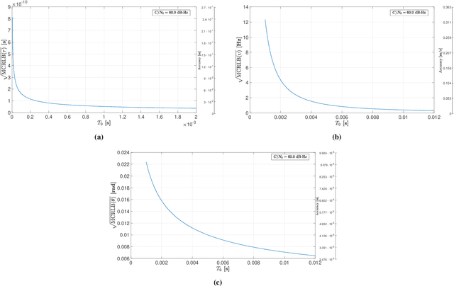
Abstract:This paper investigates the potential of non-terrestrial and terrestrial signals of opportunity (SOOP) for navigation applications. Non-terrestrial SOOP analysis employs modified Cram\`er-Rao lower bound (MCRLB) to establish a relationship between SOOP characteristics and the accuracy of ranging information. This approach evaluates hybrid navigation module performance without direct signal simulation. The MCRLB is computed for ranging accuracy, considering factors like propagation delay, frequency offset, phase offset, and angle-of-arrival (AOA), across diverse non-terrestrial SOOP candidates. Additionally, Geometric Dilution of Precision (GDOP) and low earth orbit (LEO) SOOP availability are assessed. Validation involves comparing MCRLB predictions with actual ranging measurements obtained in a realistic simulated scenario. Furthermore, a qualitative evaluation examines terrestrial SOOP, considering signal availability, accuracy attainability, and infrastructure demands.




Abstract:Global navigation satellite systems (GNSSs) are implementing security mechanisms: examples are Galileo open service navigation message authentication (OS-NMA) and GPS chips-message robust authentication (CHIMERA). Each of these mechanisms operates in a single band. However, nowadays, even commercial GNSS receivers typically compute the position, velocity, and time (PVT) solution using multiple constellations and signals from multiple bands at once, significantly improving both accuracy and availability. Hence, cross-authentication checks have been proposed, based on the PVT obtained from the mixture of authenticated and non-authenticated signals. In this paper, first, we formalize the models for the cross-authentication checks. Next, we describe, for each check, a spoofing attack to generate a fake signal leading the victim to a target PVT without notice. We analytically relate the degrees of the freedom of the attacker in manipulating the victim's solution to both the employed security checks and the number of open signals that can be tampered with by the attacker. We test the performance of the considered attack strategies on an experimental dataset. Lastly, we show the limits of the PVT-based GNSS cross-authentication checks, where both authenticated and non-authenticated signals are used.




Abstract:The threat of signal spoofing attacks against GNSS has grown in recent years and has motivated the study of anti-spoofing techniques. However, defense methods have been designed only against specific attacks. This paper introduces a general model of the spoofing attack framework in GNSS, from which optimal attack and defense strategies are derived. We consider a scenario with a legitimate receiver (Bob) testing if the received signals come from multiple legitimate space vehicles (Alice) or from an attack device (Eve). We first derive the optimal attack strategy against a Gaussian transmission from Alice, by minimizing an outer bound on the achievable error probability region of the spoofing detection test. Then, framing the spoofing and its detection as an adversarial game, we show that the Gaussian transmission and the corresponding optimal attack constitute a Nash equilibrium. Lastly, we consider the case of practical modulation schemes for Alice and derive the generalized likelihood ratio test. Numerical results validate the analytical derivations and show that the bound on the achievable error region is representative of the actual performance.




Abstract:Wireless body area networks (WBANs) are becoming increasingly popular as they allow individuals to continuously monitor their vitals and physiological parameters remotely from the hospital. With the spread of the SARS-CoV-2 pandemic, the availability of portable pulse-oximeters and wearable heart rate detectors has boomed in the market. At the same time, in 2020 we assisted to an unprecedented increase of healthcare breaches, revealing the extreme vulnerability of the current generation of WBANs. Therefore, the development of new security protocols to ensure data protection, authentication, integrity and privacy within WBANs are highly needed. Here, we targeted a WBAN collecting ECG signals from different sensor nodes on the individual's body, we extracted the inter-pulse interval (i.e., R-R interval) sequence from each of them, and we developed a new information theoretic key agreement protocol that exploits the inherent randomness of ECG to ensure authentication between sensor pairs within the WBAN. After proper pre-processing, we provide an analytical solution that ensures robust authentication; we provide a unique information reconciliation matrix, which gives good performance for all ECG sensor pairs; and we can show that a relationship between information reconciliation and privacy amplification matrices can be found. Finally, we show the trade-off between the level of security, in terms of key generation rate, and the complexity of the error correction scheme implemented in the system.