Abstract:This study is a pioneering endeavor to investigate the capabilities of Large Language Models (LLMs) in addressing conceptual questions within the domain of mechanical engineering with a focus on mechanics. Our examination involves a manually crafted exam encompassing 126 multiple-choice questions, spanning various aspects of mechanics courses, including Fluid Mechanics, Mechanical Vibration, Engineering Statics and Dynamics, Mechanics of Materials, Theory of Elasticity, and Continuum Mechanics. Three LLMs, including ChatGPT (GPT-3.5), ChatGPT (GPT-4), and Claude (Claude-2.1), were subjected to evaluation against engineering faculties and students with or without mechanical engineering background. The findings reveal GPT-4's superior performance over the other two LLMs and human cohorts in answering questions across various mechanics topics, except for Continuum Mechanics. This signals the potential future improvements for GPT models in handling symbolic calculations and tensor analyses. The performances of LLMs were all significantly improved with explanations prompted prior to direct responses, underscoring the crucial role of prompt engineering. Interestingly, GPT-3.5 demonstrates improved performance with prompts covering a broader domain, while GPT-4 excels with prompts focusing on specific subjects. Finally, GPT-4 exhibits notable advancements in mitigating input bias, as evidenced by guessing preferences for humans. This study unveils the substantial potential of LLMs as highly knowledgeable assistants in both mechanical pedagogy and scientific research.




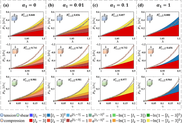
Abstract:Traditional computational methods, such as the finite element analysis, have provided valuable insights into uncovering the underlying mechanisms of brain physical behaviors. However, precise predictions of brain physics require effective constitutive models to represent the intricate mechanical properties of brain tissue. In this study, we aimed to identify the most favorable constitutive material model for human brain tissue. To achieve this, we applied artificial neural network and multiple regression methods to a generalization of widely accepted classic models, and compared the results obtained from these two approaches. To evaluate the applicability and efficacy of the model, all setups were kept consistent across both methods, except for the approach to prevent potential overfitting. Our results demonstrate that artificial neural networks are capable of automatically identifying accurate constitutive models from given admissible estimators. Nonetheless, the five-term and two-term neural network models trained under single-mode and multi-mode loading scenarios, were found to be suboptimal and could be further simplified into two-term and single-term, respectively, with higher accuracy using multiple regression. Our findings highlight the importance of hyperparameters for the artificial neural network and emphasize the necessity for detailed cross-validations of regularization parameters to ensure optimal selection at a global level in the development of material constitutive models. This study validates the applicability and accuracy of artificial neural network to automatically discover constitutive material models with proper regularization as well as the benefits in model simplification without compromising accuracy for traditional multivariable regression.