



Abstract:We consider polynomial optimization problems (POP) on a semialgebraic set contained in the nonnegative orthant (every POP on a compact set can be put in this format by a simple translation of the origin). Such a POP can be converted to an equivalent POP by squaring each variable. Using even symmetry and the concept of factor width, we propose a hierarchy of semidefinite relaxations based on the extension of P\'olya's Positivstellensatz by Dickinson-Povh. As its distinguishing and crucial feature, the maximal matrix size of each resulting semidefinite relaxation can be chosen arbitrarily and in addition, we prove that the sequence of values returned by the new hierarchy converges to the optimal value of the original POP at the rate $O(\varepsilon^{-c})$ if the semialgebraic set has nonempty interior. When applied to (i) robustness certification of multi-layer neural networks and (ii) computation of positive maximal singular values, our method based on P\'olya's Positivstellensatz provides better bounds and runs several hundred times faster than the standard Moment-SOS hierarchy.

Abstract:This paper is concerned with the stability analysis of the recurrent neural networks (RNNs) by means of the integral quadratic constraint (IQC) framework. The rectified linear unit (ReLU) is typically employed as the activation function of the RNN, and the ReLU has specific nonnegativity properties regarding its input and output signals. Therefore, it is effective if we can derive IQC-based stability conditions with multipliers taking care of such nonnegativity properties. However, such nonnegativity (linear) properties are hardly captured by the existing multipliers defined on the positive semidefinite cone. To get around this difficulty, we loosen the standard positive semidefinite cone to the copositive cone, and employ copositive multipliers to capture the nonnegativity properties. We show that, within the framework of the IQC, we can employ copositive multipliers (or their inner approximation) together with existing multipliers such as Zames-Falb multipliers and polytopic bounding multipliers, and this directly enables us to ensure that the introduction of the copositive multipliers leads to better (no more conservative) results. We finally illustrate the effectiveness of the IQC-based stability conditions with the copositive multipliers by numerical examples.




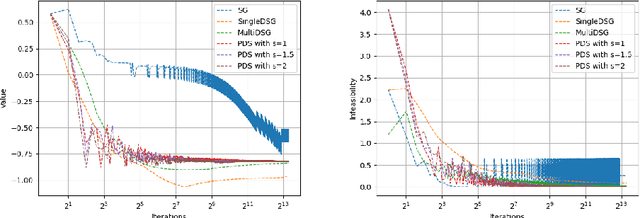
Abstract:We provide a dual subgradient method and a primal-dual subgradient method for standard convex optimization problems with complexity $\mathcal{O}(\varepsilon^{-2})$ and $\mathcal{O}(\varepsilon^{-2r})$, for all $r> 1$, respectively. They are based on recent Metel-Takeda's work in [arXiv:2009.12769, 2020, pp. 1-12] and Boyd's method in [Lecture notes of EE364b, Stanford University, Spring 2013-14, pp. 1-39]. The efficiency of our methods is numerically illustrated in a comparison to the others.