Abstract:Accurate currency recognition is essential for assistive technologies, particularly for visually impaired individuals who rely on others to identify banknotes. This dependency puts them at risk of fraud and exploitation. To address these challenges, we first build a new Bangladeshi banknote dataset that includes both controlled and real-world scenarios, ensuring a more comprehensive and diverse representation. Next, to enhance the dataset's robustness, we incorporate four additional datasets, including public benchmarks, to cover various complexities and improve the model's generalization. To overcome the limitations of current recognition models, we propose a novel hybrid CNN architecture that combines MobileNetV3-Large and EfficientNetB0 for efficient feature extraction. This is followed by an effective multilayer perceptron (MLP) classifier to improve performance while keeping computational costs low, making the system suitable for resource-constrained devices. The experimental results show that the proposed model achieves 97.95% accuracy on controlled datasets, 92.84% on complex backgrounds, and 94.98% accuracy when combining all datasets. The model's performance is thoroughly evaluated using five-fold cross-validation and seven metrics: accuracy, precision, recall, F1-score, Cohen's Kappa, MCC, and AUC. Additionally, explainable AI methods like LIME and SHAP are incorporated to enhance transparency and interpretability.
Abstract:This paper presents a novel control strategy for drone networks to improve the quality of 3D structures reconstructed from aerial images by drones. Unlike the existing coverage control strategies for this purpose, our proposed approach simultaneously controls both the camera orientation and drone translational motion, enabling more comprehensive perspectives and enhancing the map's overall quality. Subsequently, we present a novel problem formulation, including a new performance function to evaluate the drone positions and camera orientations. We then design a QP-based controller with a control barrier-like function for a constraint on the decay rate of the objective function. The present problem formulation poses a new challenge, requiring significantly greater computational efforts than the case involving only translational motion control. We approach this issue technologically, namely by introducing JAX, utilizing just-in-time (JIT) compilation and Graphical Processing Unit (GPU) acceleration. We finally conduct extensive verifications through simulation in ROS (Robot Operating System) and show the real-time feasibility of the controller and the superiority of the present controller to the conventional method.




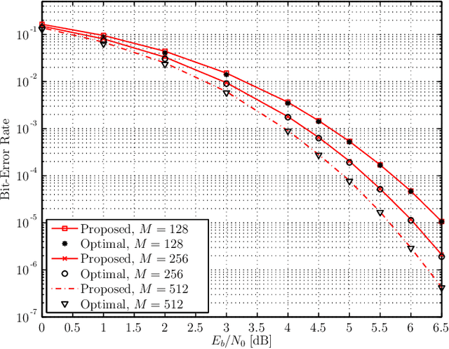
Abstract:This paper introduces a novel frequency-shift chirp spread spectrum (FSCSS) system with index modulation (IM). By using combinations of orthogonal chirp signals for message representation, the proposed FSCSS-IM system is very flexible to design and can achieve much higher data rates than the conventional FSCSS system under the same bandwidth. The paper presents optimal detection algorithms, both coherently and non-coherently, for the proposed FSCSS-IM system. Furthermore, a low-complexity non-coherent detection algorithm is also developed to reduce the computational complexity of the receiver, which is shown to achieve near-optimal performance. Results are presented to demonstrate that the proposed system, while enabling much higher data rates, enjoys similar bit-error performance as that of the conventional FSCSS system.




Abstract:With the advancement in technology and the expansion of broadcasting, cross-media retrieval has gained much attention. It plays a significant role in big data applications and consists in searching and finding data from different types of media. In this paper, we provide a novel taxonomy according to the challenges faced by multi-modal deep learning approaches in solving cross-media retrieval, namely: representation, alignment, and translation. These challenges are evaluated on deep learning (DL) based methods, which are categorized into four main groups: 1) unsupervised methods, 2) supervised methods, 3) pairwise based methods, and 4) rank based methods. Then, we present some well-known cross-media datasets used for retrieval, considering the importance of these datasets in the context in of deep learning based cross-media retrieval approaches. Moreover, we also present an extensive review of the state-of-the-art problems and its corresponding solutions for encouraging deep learning in cross-media retrieval. The fundamental objective of this work is to exploit Deep Neural Networks (DNNs) for bridging the "media gap", and provide researchers and developers with a better understanding of the underlying problems and the potential solutions of deep learning assisted cross-media retrieval. To the best of our knowledge, this is the first comprehensive survey to address cross-media retrieval under deep learning methods.