



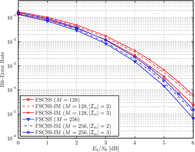
This paper introduces a novel frequency-shift chirp spread spectrum (FSCSS) system with index modulation (IM). By using combinations of orthogonal chirp signals for message representation, the proposed FSCSS-IM system is very flexible to design and can achieve much higher data rates than the conventional FSCSS system under the same bandwidth. The paper presents optimal detection algorithms, both coherently and non-coherently, for the proposed FSCSS-IM system. Furthermore, a low-complexity non-coherent detection algorithm is also developed to reduce the computational complexity of the receiver, which is shown to achieve near-optimal performance. Results are presented to demonstrate that the proposed system, while enabling much higher data rates, enjoys similar bit-error performance as that of the conventional FSCSS system.