Abstract:Grapes are among the most economically and culturally significant fruits on a global scale, and table grapes and wine are produced in significant quantities in Europe and Asia. The production and quality of grapes are significantly impacted by grape diseases such as Bacterial Rot, Downy Mildew, and Powdery Mildew. Consequently, the sustainable management of a vineyard necessitates the early and precise identification of these diseases. Current automated methods, particularly those that are based on the YOLO framework, are often computationally costly and lack interpretability that makes them unsuitable for real-world scenarios. This study proposes grape leaf disease classification using Optimized DenseNet 121. Domain-specific preprocessing and extensive connectivity reveal disease-relevant characteristics, including veins, edges, and lesions. An extensive comparison with baseline CNN models, including ResNet18, VGG16, AlexNet, and SqueezeNet, demonstrates that the proposed model exhibits superior performance. It achieves an accuracy of 99.27%, an F1 score of 99.28%, a specificity of 99.71%, and a Kappa of 98.86%, with an inference time of 9 seconds. The cross-validation findings show a mean accuracy of 99.12%, indicating strength and generalizability across all classes. We also employ Grad-CAM to highlight disease-related regions to guarantee the model is highlighting physiologically relevant aspects and increase transparency and confidence. Model optimization reduces processing requirements for real-time deployment, while transfer learning ensures consistency on smaller and unbalanced samples. An effective architecture, domain-specific preprocessing, and interpretable outputs make the proposed framework scalable, precise, and computationally inexpensive for detecting grape leaf diseases.
Abstract:Digital systems find it challenging to keep up with cybersecurity threats. The daily emergence of more than 560,000 new malware strains poses significant hazards to the digital ecosystem. The traditional malware detection methods fail to operate properly and yield high false positive rates with low accuracy of the protection system. This study explores the ways in which malware can be detected using these machine learning (ML) and deep learning (DL) approaches to address those shortcomings. This study also includes a systematic comparison of the performance of some of the widely used ML models, such as random forest, multi-layer perceptron (MLP), and deep neural network (DNN), for determining the effectiveness of the domain of modern malware threat systems. We use a considerable-sized database from Kaggle, which has undergone optimized feature selection and preprocessing to improve model performance. Our finding suggests that the DNN model outperformed the other traditional models with the highest training accuracy of 99.92% and an almost perfect AUC score. Furthermore, the feature selection and preprocessing can help improve the capabilities of detection. This research makes an important contribution by analyzing the performance of the model on the performance metrics and providing insight into the effectiveness of the advanced detection techniques to build more robust and more reliable cybersecurity solutions against the growing malware threats.




Abstract:Diabetes, particularly Type 2 diabetes (T2D), poses a substantial global health burden, compounded by its associated complications such as cardiovascular diseases, kidney failure, and vision impairment. Early detection of T2D is critical for improving healthcare outcomes and optimizing resource allocation. In this study, we address the gap in early T2D detection by leveraging machine learning (ML) techniques on gene expression data obtained from T2D patients. Our primary objective was to enhance the accuracy of early T2D detection through advanced ML methodologies and increase the model's trustworthiness using the explainable artificial intelligence (XAI) technique. Analyzing the biological mechanisms underlying T2D through gene expression datasets represents a novel research frontier, relatively less explored in previous studies. While numerous investigations have focused on utilizing clinical and demographic data for T2D prediction, the integration of molecular insights from gene expression datasets offers a unique and promising avenue for understanding the pathophysiology of the disease. By employing six ML classifiers on data sourced from NCBI's Gene Expression Omnibus (GEO), we observed promising performance across all models. Notably, the XGBoost classifier exhibited the highest accuracy, achieving 97%. Our study addresses a notable gap in early T2D detection methodologies, emphasizing the importance of leveraging gene expression data and advanced ML techniques.




Abstract:Our everyday lives now heavily rely on artificial intelligence (AI) powered large language models (LLMs). Like regular users, programmers are also benefiting from the newest large language models. In response to the critical role that AI models play in modern software development, this study presents a thorough evaluation of leading programming assistants, including ChatGPT, Gemini(Bard AI), AlphaCode, and GitHub Copilot. The evaluation is based on tasks like natural language processing and code generation accuracy in different programming languages like Java, Python and C++. Based on the results, it has emphasized their strengths and weaknesses and the importance of further modifications to increase the reliability and accuracy of the latest popular models. Although these AI assistants illustrate a high level of progress in language understanding and code generation, along with ethical considerations and responsible usage, they provoke a necessity for discussion. With time, developing more refined AI technology is essential for achieving advanced solutions in various fields, especially with the knowledge of the feature intricacies of these models and their implications. This study offers a comparison of different LLMs and provides essential feedback on the rapidly changing area of AI models. It also emphasizes the need for ethical developmental practices to actualize AI models' full potential.




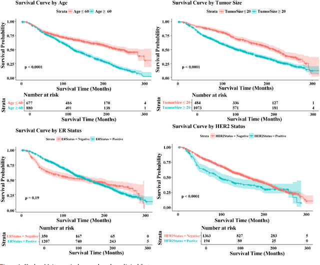
Abstract:Breast cancer remains a significant global health challenge, with prognosis and treatment decisions largely dependent on clinical characteristics. Accurate prediction of patient outcomes is crucial for personalized treatment strategies. This study employs survival analysis techniques, including Cox proportional hazards and parametric survival models, to enhance the prediction of the log odds of survival in breast cancer patients. Clinical variables such as tumor size, hormone receptor status, HER2 status, age, and treatment history were analyzed to assess their impact on survival outcomes. Data from 1557 breast cancer patients were obtained from a publicly available dataset provided by the University College Hospital, Ibadan, Nigeria. This dataset was preprocessed and analyzed using both univariate and multivariate approaches to evaluate survival outcomes. Kaplan-Meier survival curves were generated to visualize survival probabilities, while the Cox proportional hazards model identified key risk factors influencing mortality. The results showed that older age, larger tumor size, and HER2-positive status were significantly associated with an increased risk of mortality. In contrast, estrogen receptor positivity and breast-conserving surgery were linked to better survival outcomes. The findings suggest that integrating these clinical variables into predictive models improvesthe accuracy of survival predictions, helping to identify high-risk patients who may benefit from more aggressive interventions. This study demonstrates the potential of survival analysis in optimizing breast cancer care, particularly in resource-limited settings. Future research should focus on integrating genomic data and real-world clinical outcomes to further refine these models.




Abstract:This research is based on the present missile detection technologies in the world and the analysis of these technologies to find a cost effective solution to implement the system in Bangladesh. The paper will give an idea of the missile detection technologies using the electro-optical sensor and the pulse doppler radar. The system is made to detect the target missile. Automatic detection and destruction with the help of ultrasonic sonar, a metal detector sensor, and a smoke detector sensor. The system is mainly based on an ultrasonic sonar sensor. It has a transducer, a transmitter, and a receiver. Transducer is connected with the connected with controller. When it detects an object by following the algorithm, it finds its distance and angle. It can also assure whether the system can destroy the object or not by using another algorithm's simulation.