Abstract:Motivated by classical communications engineering, early works in molecular communication (MC) largely adopted established modeling and signal processing concepts from wireless electromagnetic communication systems. In the context of the human cardiovascular system (CVS), MC channel models evolved from simple unbounded and single-duct environments mimicking individual blood vessels to complex vessel network (VN) topologies, generally at the expense of analytical tractability. Up until now, this has largely prohibited rigorous communication-theoretic analysis of large-scale VNs. In this work, we leverage a recently established closed-form analytical channel model for VNs, named mixture of inverse Gaussians for hemodynamic transport (MIGHT), to conduct the first systematic communication-theoretic study of MC in complex, large-scale VNs. Based on MIGHT, we derive a Poisson channel noise model and unveil structural analogies between multipath wireless communications (MWC) and advective-diffusive MC in VNs. In particular, we establish classical MWC metrics, namely the root mean squared (RMS) delay spread, the mean excess delay, and the coherence bandwidth, for MC in VNs and derive closed-form expressions for the channel frequency response and power delay profile (PDP). Building on this characterization, we propose a VN-adapted, coherent decision-feedback (DF) detector and show how the derived multipath metrics can inform the choice of critical system parameters like the symbol duration, the sampling time, and the memory length. Additionally, we evaluate the detector's performance in different VNs exhibiting inter-symbol interference (ISI). Together, these contributions open the door to a systematic, MWC-inspired MC system design for large-scale VNs.
Abstract:In this paper, we introduce an autoencoder (AE)-based scheme for end-to-end optimization of a multi-user molecule mixture communication system. In the proposed scheme, each transmitter leverages an encoder network that maps the user symbol to a molecule mixture. The mixtures then propagate through the channel to the receiver, which samples the channel using a non-linear, cross-reactive sensor array. A decoder network then estimates the symbol transmitted by each user based on the sensor observations. The proposed scheme achieves, for a given signal-to-noise ratio, lower symbol error rates than a baseline scheme from the literature in a single-user setting with full channel state information. We additionally demonstrate that the proposed AE-based scheme allows reliable communication when the channel is unknown or changing. Finally, we show that for multiple access the system can account for different user priorities. In summary, the proposed AE-based scheme enables end-to-end system optimization in complex scenarios unsuitable for analytical treatment and thereby brings molecular communication systems closer to real-world deployment.




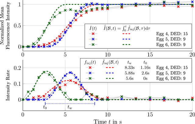
Abstract:Molecular communication (MC) research increasingly focuses on biomedical applications like health monitoring and drug delivery, demanding testing in realistic living environments. Elevating MC research requires developing advanced in vivo testbeds. We introduce the chorioallantoic membrane (CAM) model as the first versatile 3D in vivo MC platform. The CAM, a highly vascularized membrane in fertilized chicken eggs, is established in bioengineering, cancer research, and drug development. Its biological realism, reproducibility, and versatility make it ideal for next-generation MC testbeds, bridging proof-of-concept systems and practical applications. We comprehensively characterize the CAM model's properties and MC system relevance. Through experimental studies, we investigate fluorescent molecule distribution in the CAM's closed-loop vascular system. We derive an analytical model using the wrapped normal distribution to describe particle propagation in dispersive closed-loop systems dominated by diffusion and flow. Parametric models are developed to approximate particle dynamics in the CAM, with parameters estimated via nonlinear least squares curve fitting. A dataset of 69 regions from 25 eggs validates our models. We analyze parameter relationships and biological plausibility. Finally, we develop a parametric model for long-term particle behavior and liver accumulation in chick embryos.




Abstract:The image-source method is widely applied to compute room impulse responses (RIRs) of shoebox rooms with arbitrary absorption. However, with increasing RIR lengths, the number of image sources grows rapidly, leading to slow computation. In this paper, we derive a closed-form expression for the damping density, which characterizes the overall multi-slope energy decay. The omnidirectional energy decay over time is directly derived from the damping density. The resulting energy decay model accurately matches the late reverberation simulated via the image-source method. The proposed model allows the fast stochastic synthesis of late reverberation by shaping noise with the energy envelope. Simulations of various wall damping coefficients demonstrate the model's accuracy. The proposed model consistently outperforms the energy decay prediction accuracy compared to a state-of-the-art approximation method. The paper elaborates on the proposed damping density's applicability to modeling multi-sloped sound energy decay, predicting reverberation time in non-diffuse sound fields, and fast frequency-dependent RIR synthesis.




Abstract:The prediction of road users' future motion is a critical task in supporting advanced driver-assistance systems (ADAS). It plays an even more crucial role for autonomous driving (AD) in enabling the planning and execution of safe driving maneuvers. Based on our previous work, Context-Aware Scene Prediction Network (CASPNet), an improved system, CASPNet++, is proposed. In this work, we focus on further enhancing the interaction modeling and scene understanding to support the joint prediction of all road users in a scene using spatiotemporal grids to model future occupancy. Moreover, an instance-based output head is introduced to provide multi-modal trajectories for agents of interest. In extensive quantitative and qualitative analysis, we demonstrate the scalability of CASPNet++ in utilizing and fusing diverse environmental input sources such as HD maps, Radar detection, and Lidar segmentation. Tested on the urban-focused prediction dataset nuScenes, CASPNet++ reaches state-of-the-art performance. The model has been deployed in a testing vehicle, running in real-time with moderate computational resources.




Abstract:Controlled drug delivery (CDD), the controlled release and delivery of therapeutic drugs inside the human body, is a promising approach to increase the efficacy of drug administration and reduce harmful side effects to the body. CDD has been a major research focus in the field of molecular communications (MC) with the goal to aid the design and optimization of CDD systems with communication theoretical analysis. However, the existing studies of CDD under the MC framework are purely theoretical, and the potential of MC for the development of practical CDD applications remains yet to be shown. This paper presents a step towards filling this research gap. Specifically, we present a novel MC-based model for a specific CDD system in which drugs are embedded into microparticles and released gradually towards the target site. It is demonstrated that the proposed model is able to faithfully reproduce experimental data. Furthermore, statistical analysis is conducted to explore the impact of the microparticle size on the drug release. The presented results reveal the sensitivity of the drug release to changes in the microparticle size. In this way, the proposed model can be used for the design of future microparticle-based CDD systems.




Abstract:Discrete-time modeling of acoustic, mechanical and electrical systems is a prominent topic in the musical signal processing literature. Such models are mostly derived by discretizing a mathematical model, given in terms of ordinary or partial differential equations, using established techniques. Recent work has applied the techniques of machine-learning to construct such models automatically from data for the case of systems which have lumped states described by scalar values, such as electrical circuits. In this work, we examine how similar techniques are able to construct models of systems which have spatially distributed rather than lumped states. We describe several novel recurrent neural network structures, and show how they can be thought of as an extension of modal techniques. As a proof of concept, we generate synthetic data for three physical systems and show that the proposed network structures can be trained with this data to reproduce the behavior of these systems.




Abstract:Predicting the future motion of surrounding road users is a crucial and challenging task for autonomous driving (AD) and various advanced driver-assistance systems (ADAS). Planning a safe future trajectory heavily depends on understanding the traffic scene and anticipating its dynamics. The challenges do not only lie in understanding the complex driving scenarios but also the numerous possible interactions among road users and environments, which are practically not feasible for explicit modeling. In this work, we tackle the above challenges by jointly learning and predicting the motion of all road users in a scene, using a novel convolutional neural network (CNN) and recurrent neural network (RNN) based architecture. Moreover, by exploiting grid-based input and output data structures, the computational cost is independent of the number of road users and multi-modal predictions become inherent properties of our proposed method. Evaluation on the nuScenes dataset shows that our approach reaches state-of-the-art results in the prediction benchmark.