Department of Mathematical and Statistical Sciences, University of Alberta, Edmonton, Alberta, Canada, Department of Mathematics and Statistics, University of Victoria, Victoria, British Columbia, Canada, Department of Biology, University of Victoria, Victoria, British Columbia, Canada, Department of Biological Sciences, University of Alberta, Edmonton, Alberta, Canada




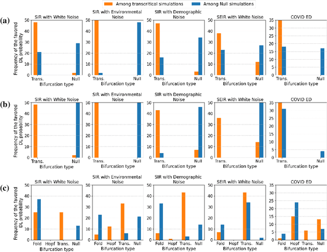
Abstract:Early Warning Signals (EWSs) are vital for implementing preventive measures before a disease turns into a pandemic. While new diseases exhibit unique behaviors, they often share fundamental characteristics from a dynamical systems perspective. Moreover, measurements during disease outbreaks are often corrupted by different noise sources, posing challenges for Time Series Classification (TSC) tasks. In this study, we address the problem of having a robust EWS for disease outbreak prediction using a best-performing deep learning model in the domain of TSC. We employed two simulated datasets to train the model: one representing generated dynamical systems with randomly selected polynomial terms to model new disease behaviors, and another simulating noise-induced disease dynamics to account for noisy measurements. The model's performance was analyzed using both simulated data from different disease models and real-world data, including influenza and COVID-19. Results demonstrate that the proposed model outperforms previous models, effectively providing EWSs of impending outbreaks across various scenarios. This study bridges advancements in deep learning with the ability to provide robust early warning signals in noisy environments, making it highly applicable to real-world crises involving emerging disease outbreaks.




Abstract:Understanding and predicting recreational fishing activity is important for sustainable fisheries management. However, traditional methods of measuring fishing pressure, such as surveys, can be costly and limited in both time and spatial extent. Predictive models that relate fishing activity to environmental or economic factors typically rely on historical data, which often restricts their spatial applicability due to data scarcity. In this study, high-resolution angler-generated data from an online platform and easily accessible auxiliary data were tested to predict daily boat presence and aerial counts of boats at almost 200 lakes over five years in Ontario, Canada. Lake-information website visits alone enabled predicting daily angler boat presence with 78% accuracy. While incorporating additional environmental, socio-ecological, weather and angler-generated features into machine learning models did not remarkably improve prediction performance of boat presence, they were substantial for the prediction of boat counts. Models achieved an R2 of up to 0.77 at known lakes included in the model training, but they performed poorly for unknown lakes (R2 = 0.21). The results demonstrate the value of integrating angler-generated data from online platforms into predictive models and highlight the potential of machine learning models to enhance fisheries management.




Abstract:Forecasting the occurrence and absence of novel disease outbreaks is essential for disease management. Here, we develop a general model, with no real-world training data, that accurately forecasts outbreaks and non-outbreaks. We propose a novel framework, using a feature-based time series classification method to forecast outbreaks and non-outbreaks. We tested our methods on synthetic data from a Susceptible-Infected-Recovered model for slowly changing, noisy disease dynamics. Outbreak sequences give a transcritical bifurcation within a specified future time window, whereas non-outbreak (null bifurcation) sequences do not. We identified incipient differences in time series of infectives leading to future outbreaks and non-outbreaks. These differences are reflected in 22 statistical features and 5 early warning signal indicators. Classifier performance, given by the area under the receiver-operating curve, ranged from 0.99 for large expanding windows of training data to 0.7 for small rolling windows. Real-world performances of classifiers were tested on two empirical datasets, COVID-19 data from Singapore and SARS data from Hong Kong, with two classifiers exhibiting high accuracy. In summary, we showed that there are statistical features that distinguish outbreak and non-outbreak sequences long before outbreaks occur. We could detect these differences in synthetic and real-world data sets, well before potential outbreaks occur.




Abstract:The timely detection of disease outbreaks through reliable early warning signals (EWSs) is indispensable for effective public health mitigation strategies. Nevertheless, the intricate dynamics of real-world disease spread, often influenced by diverse sources of noise and limited data in the early stages of outbreaks, pose a significant challenge in developing reliable EWSs, as the performance of existing indicators varies with extrinsic and intrinsic noises. Here, we address the challenge of modeling disease when the measurements are corrupted by additive white noise, multiplicative environmental noise, and demographic noise into a standard epidemic mathematical model. To navigate the complexities introduced by these noise sources, we employ a deep learning algorithm that provides EWS in infectious disease outbreak by training on noise-induced disease-spreading models. The indicator's effectiveness is demonstrated through its application to real-world COVID-19 cases in Edmonton and simulated time series derived from diverse disease spread models affected by noise. Notably, the indicator captures an impending transition in a time series of disease outbreaks and outperforms existing indicators. This study contributes to advancing early warning capabilities by addressing the intricate dynamics inherent in real-world disease spread, presenting a promising avenue for enhancing public health preparedness and response efforts.
Abstract:Prediction of angler behaviors, such as catch rates and angler pressure, is essential to maintaining fish populations and ensuring angler satisfaction. Angler behavior can partly be tracked by online platforms and mobile phone applications that provide fishing activities reported by recreational anglers. Moreover, angler behavior is known to be driven by local site attributes. Here, the prediction of citizen-reported angler behavior was investigated by machine-learning methods using auxiliary data on the environment, socioeconomics, fisheries management objectives, and events at a freshwater body. The goal was to determine whether auxiliary data alone could predict the reported behavior. Different spatial and temporal extents and temporal resolutions were considered. Accuracy scores averaged 88% for monthly predictions at single water bodies and 86% for spatial predictions on a day in a specific region across Canada. At other resolutions and scales, the models only achieved low prediction accuracy of around 60%. The study represents a first attempt at predicting angler behavior in time and space at a large scale and establishes a foundation for potential future expansions in various directions.