Abstract:Integrated sensing and communications (ISAC) has emerged as a pivotal enabling technology for next-generation wireless networks. Despite the distinct signal design requirements of sensing and communication (S&C) systems, shifting the symbol-wise pulse shaping (SWiPS) framework from communication-only systems to ISAC poses significant challenges in signal design and processing This paper addresses these challenges by examining the ambiguity function (AF) of the SWiPS ISAC signal and introducing a novel pulse shaping design for single-carrier ISAC transmission. We formulate optimization problems to minimize the average integrated sidelobe level (ISL) of the AF, as well as the weighted ISL (WISL) while satisfying inter-symbol interference (ISI), out-of-band emission (OOBE), and power constraints. Our contributions include establishing the relationship between the AFs of both the random data symbols and signaling pulses, analyzing the statistical characteristics of the AF, and developing algorithmic frameworks for pulse shaping optimization using successive convex approximation (SCA) and alternating direction method of multipliers (ADMM) approaches. Numerical results are provided to validate our theoretical analysis, which demonstrate significant performance improvements in the proposed SWiPS design compared to the root-raised cosine (RRC) pulse shaping for conventional communication systems.
Abstract:In this work, we consider a backscatter communication system wherein multiple asynchronous sources (tags) exploit the reverberation generated by a nearby radar transmitter as an ambient carrier to deliver a message to a common destination (reader) through a number of available subchannels. We propose a new encoding strategy wherein each tag transmits both pilot and data symbols on each subchannel and repeats some of the data symbols on multiple subchannels. We then exploit this signal structure to derive two semi-blind iterative algorithms for joint estimation of the data symbols and the subchannel responses that are also able to handle some missing measurements. The proposed encoding/decoding strategies are scalable with the number of tags and their payload and can achieve different tradeoffs in terms of transmission and error rates. Some numerical examples are provided to illustrate the merits of the proposed solutions.
Abstract:In this paper, we propose a novel pulse shaping design for single-carrier integrated sensing and communication (ISAC) transmission. Due to the communication information embedded in the ISAC signal, the resulting auto-correlation function (ACF) is determined by both the information-conveying random symbol sequence and the signaling pulse, where the former leads to random fluctuations in the sidelobes of the ACF, impairing the range estimation performance. To overcome this challenge, we first analyze the statistical characteristics of the random ACF under the symbol-wise pulse shaping (SWPS) regime. As a step further, we formulate an optimization problem to design ISAC pulse shaping filters, which minimizes the average integrated sidelobe level ratio (ISLR) while meeting the Nyquist criterion, subject to power and bandwidth constraints. We then show that the problem can be recast as a convex quadratic program by expressing it in the frequency domain, which can be readily solved through standard tools. Numerical results demonstrate that the proposed pulse shaping design achieves substantial ranging sidelobe reduction compared to the celebrated root-raised cosine (RRC) pulse shaping, given that the communication throughput is unchanged.




Abstract:Colocated multiple-input multiple-output (MIMO) technology has been widely used in automotive radars as it provides accurate angular estimation of the objects with relatively small number of transmitting and receiving antennas. Since the Direction Of Departure (DOD) and the Direction Of Arrival (DOA) of line-of-sight targets coincide, MIMO signal processing allows forming a larger virtual array for angle finding. However, multiple paths impinging the receiver is a major limiting factor, in that radar signals may bounce off obstacles, creating echoes for which the DOD does not equal the DOA. Thus, in complex scenarios with multiple scatterers, the direct paths of the intended targets may be corrupted by indirect paths from other objects, which leads to inaccurate angle estimation or ghost targets. In this paper, we focus on detecting the presence of ghosts due to multipath by regarding it as the problem of deciding between a composite hypothesis, ${\cal H}_0$ say, that the observations only contain an unknown number of direct paths sharing the same (unknown) DOD's and DOA's, and a composite alternative, ${\cal H}_1$ say, that the observations also contain an unknown number of indirect paths, for which DOD's and DOA's do not coincide. We exploit the Generalized Likelihood Ratio Test (GLRT) philosophy to determine the detector structure, wherein the unknown parameters are replaced by carefully designed estimators. The angles of both the active direct paths and of the multi-paths are indeed estimated through a sparsity-enforced Compressed Sensing (CS) approach with Levenberg-Marquardt (LM) optimization to estimate the angular parameters in the continuous domain. An extensive performance analysis is finally offered in order to validate the proposed solution.




Abstract:In this work, we exploit the radar clutter (i.e., the ensemble of echoes generated by the terrain and/or the surrounding objects in response to the signal emitted by a radar transmitter) as a carrier signal to enable an ambient basckscatter communication from a source (tag) to a destination (reader). Upon deriving a convenient signal model, we exploit the fact that the radar clutter is periodic over time scales shorter than the coherence time of the environment, because so is the radar excitation, to distinguish the message sent by the tag from the superimposed ambient interference. In particular, we propose two encoding/decoding schemes that do not require any coordination with the radar transmitter or knowledge of the radar waveform. Different tradeoffs in terms of transmission rate and error probability can be obtained upon changing the control signal driving the tag switch or the adopted encoding rule; also, multiple tags can be accommodated with either a sourced or an unsourced multiple access strategy.




Abstract:In this work we consider a multiple-input multiple-output (MIMO) dual-function radar-communication (DFRC) system that employs an orthogonal frequency division multiplexing (OFDM) and a differential phase shift keying (DPSK) modulation, and study the design of the radiated waveforms and of the receive filters employed by the radar and the users. The approach is communication-centric, in the sense that a radar-oriented objective is optimized under constraints on the average transmit power, the power leakage towards specific directions, and the error rate of each user, thus safeguarding the communication quality of service (QoS). We adopt a unified design approach allowing a broad family of radar objectives, including both estimation- and detection-oriented merit functions. We devise a suboptimal solution based on alternating optimization of the involved variables, a convex restriction of the feasible search set, and minorization-maximization, offering a single algorithm for all of the radar merit functions in the considered family. Finally, the performance is inspected through numerical examples.




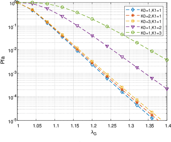
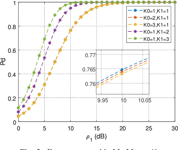
Abstract:A reconfigurable intelligent surface (RIS) is a flat layer made of sub-wavelength-sized reflective elements capable of adding a tunable phase shift to the impinging electromagnetic wave. This paper considers the fundamental problem of target detection in a RIS-aided multiple-input multiple-output (MIMO) radar system. At first, a general signal model is introduced, which includes the possibility of using up to two RISs (one close to the transmitter and one close to the receiver) and subsumes both a mono-static and a bi-static radar configuration with or without a line-of-sight (LOS) view of the prospective target. Upon resorting to a generalized likelihood ratio test (GLRT), the design of the RIS phase shifts is formulated as the maximization of the probability of detection in the resolution cell under inspection for a fixed probability of false alarm, and suitable optimization algorithms are proposed and discussed. Both the theoretical and the numerical analysis clearly show the benefits, in terms of the signal-to-noise ratio (SNR) at the radar receiver, granted by the use of the RISs and shed light on the interplay among the key system parameters, such as the radar-RIS distance, the RIS size, and location of the prospective target. A major finding is that the RISs should be deployed in the near-field of the radar transmit/receive array. The paper is then concluded by discussing some open problems and foreseen applications.




Abstract:Energy efficiency, possibly coupled with cognition-based and spectrum-sharing architectures, is a key enabling technology for green communications in 5G-and-beyond standards. In this context, the present paper considers a multiple-input multiple-output communication system cooperatively coexisting with a surveillance radar: the objective function is the communication system energy efficiency, while radar operation is safeguarded by constraining the minimum received signal-to-disturbance ratio for a set of range-azimuth cells of the controlled scene, and no time synchronization between them is assumed. The degrees of freedom are the transmit powers of both systems, the space-time communication codebook and the linear filters at the radar receiver. The resulting optimization problem is non-convex, due to both the objective function and the presence of signal-dependent interference (clutter): we develop a block-coordinate-ascent approximate solution, and offer a thorough performance assessment, so as to elicit the merits of the proposed approach, along with the interplay among the achievable energy efficiency, the density of scatterers in the environment, and the size of the set of protected radar cells.




Abstract:In this work, we consider the target detection problem in a sensing architecture where the radar is aided by a reconfigurable intelligent surface (RIS), that can be modeled as an array of sub-wavelength small reflective elements capable of imposing a tunable phase shift to the impinging waves and, ultimately, of providing the radar with an additional echo of the target. A theoretical analysis is carried out for closely- and widely-spaced (with respect to the target) radar and RIS and for different beampattern configurations, and some examples are provided to show that large gains can be achieved by the considered detection architecture.