



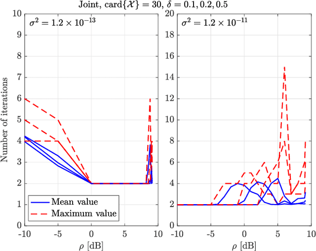
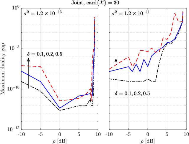
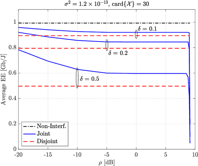
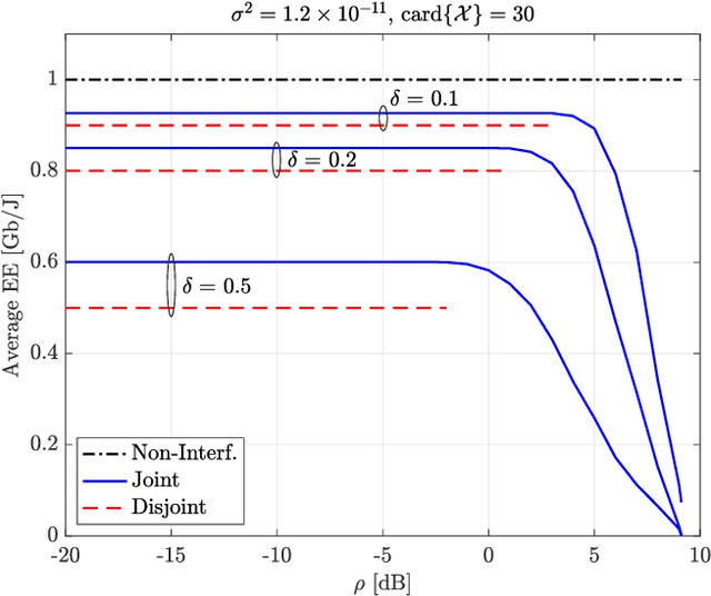
Energy efficiency, possibly coupled with cognition-based and spectrum-sharing architectures, is a key enabling technology for green communications in 5G-and-beyond standards. In this context, the present paper considers a multiple-input multiple-output communication system cooperatively coexisting with a surveillance radar: the objective function is the communication system energy efficiency, while radar operation is safeguarded by constraining the minimum received signal-to-disturbance ratio for a set of range-azimuth cells of the controlled scene, and no time synchronization between them is assumed. The degrees of freedom are the transmit powers of both systems, the space-time communication codebook and the linear filters at the radar receiver. The resulting optimization problem is non-convex, due to both the objective function and the presence of signal-dependent interference (clutter): we develop a block-coordinate-ascent approximate solution, and offer a thorough performance assessment, so as to elicit the merits of the proposed approach, along with the interplay among the achievable energy efficiency, the density of scatterers in the environment, and the size of the set of protected radar cells.