



Abstract:Pulsar timing arrays (PTAs) perform Bayesian posterior inference with expensive MCMC methods. Given a dataset of ~10-100 pulsars and O(10^3) timing residuals each, producing a posterior distribution for the stochastic gravitational wave background (SGWB) can take days to a week. The computational bottleneck arises because the likelihood evaluation required for MCMC is extremely costly when considering the dimensionality of the search space. Fortunately, generating simulated data is fast, so modern simulation-based inference techniques can be brought to bear on the problem. In this paper, we demonstrate how conditional normalizing flows trained on simulated data can be used for extremely fast and accurate estimation of the SGWB posteriors, reducing the sampling time from weeks to a matter of seconds.




Abstract:We introduce Noise Injection Node Regularization (NINR), a method of injecting structured noise into Deep Neural Networks (DNN) during the training stage, resulting in an emergent regularizing effect. We present theoretical and empirical evidence for substantial improvement in robustness against various test data perturbations for feed-forward DNNs when trained under NINR. The novelty in our approach comes from the interplay of adaptive noise injection and initialization conditions such that noise is the dominant driver of dynamics at the start of training. As it simply requires the addition of external nodes without altering the existing network structure or optimization algorithms, this method can be easily incorporated into many standard problem specifications. We find improved stability against a number of data perturbations, including domain shifts, with the most dramatic improvement obtained for unstructured noise, where our technique outperforms other existing methods such as Dropout or $L_2$ regularization, in some cases. We further show that desirable generalization properties on clean data are generally maintained.




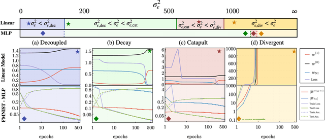
Abstract:We propose a new method to probe the learning mechanism of Deep Neural Networks (DNN) by perturbing the system using Noise Injection Nodes (NINs). These nodes inject uncorrelated noise via additional optimizable weights to existing feed-forward network architectures, without changing the optimization algorithm. We find that the system displays distinct phases during training, dictated by the scale of injected noise. We first derive expressions for the dynamics of the network and utilize a simple linear model as a test case. We find that in some cases, the evolution of the noise nodes is similar to that of the unperturbed loss, thus indicating the possibility of using NINs to learn more about the full system in the future.




Abstract:The goal of this paper is to develop a machine learning based approach that utilizes phase space alone to separate the Gaia DR2 stars into two categories: those accreted onto the Milky Way from in situ stars that were born within the Galaxy. Traditional selection methods that have been used to identify accreted stars typically rely on full 3D velocity and/or metallicity information, which significantly reduces the number of classifiable stars. The approach advocated here is applicable to a much larger fraction of Gaia DR2. A method known as transfer learning is shown to be effective through extensive testing on a set of mock Gaia catalogs that are based on the FIRE cosmological zoom-in hydrodynamic simulations of Milky Way-mass galaxies. The machine is first trained on simulated data using only 5D kinematics as inputs, and is then further trained on a cross-matched Gaia/RAVE data set, which improves sensitivity to properties of the real Milky Way. The result is a catalog that identifies ~650,000 accreted stars within Gaia DR2. This catalog can yield empirical insights into the merger history of the Milky Way, and could be used to infer properties of the dark matter distribution.




Abstract:Determining the best method for training a machine learning algorithm is critical to maximizing its ability to classify data. In this paper, we compare the standard "fully supervised" approach (that relies on knowledge of event-by-event truth-level labels) with a recent proposal that instead utilizes class ratios as the only discriminating information provided during training. This so-called "weakly supervised" technique has access to less information than the fully supervised method and yet is still able to yield impressive discriminating power. In addition, weak supervision seems particularly well suited to particle physics since quantum mechanics is incompatible with the notion of mapping an individual event onto any single Feynman diagram. We examine the technique in detail -- both analytically and numerically -- with a focus on the robustness to issues of mischaracterizing the training samples. Weakly supervised networks turn out to be remarkably insensitive to systematic mismodeling. Furthermore, we demonstrate that the event level outputs for weakly versus fully supervised networks are probing different kinematics, even though the numerical quality metrics are essentially identical. This implies that it should be possible to improve the overall classification ability by combining the output from the two types of networks. For concreteness, we apply this technology to a signature of beyond the Standard Model physics to demonstrate that all these impressive features continue to hold in a scenario of relevance to the LHC.