



Abstract:Collaborative research often includes contributors with varied perspectives from diverse linguistic backgrounds. However, English as a Second Language (ESL) researchers often struggle to communicate during meetings in English and comprehend discussions, leading to limited contribution. To investigate these challenges, we surveyed 64 ESL researchers who frequently collaborate in multilingual teams and identified four key design goals around participation, comprehension, documentation, and feedback. Guided by these design goals, we developed LINC, a multimodal Language INdependent Collaboration system with two components: a real-time module for multilingual communication during meetings and a post-meeting dashboard for discussion analysis. We evaluated the system through a two-phased study with six triads of multilingual teams. We found that using LINC, participants benefited from communicating in their preferred language, recalled and reviewed actionable insights, and prepared for upcoming meetings effectively. We discuss external factors that impact multilingual meeting participation beyond language preferences and the implications of multimodal systems in facilitating meetings in hybrid multilingual collaborative settings beyond research.




Abstract:Methods for making high-quality recommendations often rely on learning latent representations from interaction data. These methods, while performant, do not provide ready mechanisms for users to control the recommendation they receive. Our work tackles this problem by proposing LACE, a novel concept value bottleneck model for controllable text recommendations. LACE represents each user with a succinct set of human-readable concepts through retrieval given user-interacted documents and learns personalized representations of the concepts based on user documents. This concept based user profile is then leveraged to make recommendations. The design of our model affords control over the recommendations through a number of intuitive interactions with a transparent user profile. We first establish the quality of recommendations obtained from LACE in an offline evaluation on three recommendation tasks spanning six datasets in warm-start, cold-start, and zero-shot setups. Next, we validate the controllability of LACE under simulated user interactions. Finally, we implement LACE in an interactive controllable recommender system and conduct a user study to demonstrate that users are able to improve the quality of recommendations they receive through interactions with an editable user profile.


Abstract:Keeping up with the research literature plays an important role in the workflow of scientists - allowing them to understand a field, formulate the problems they focus on, and develop the solutions that they contribute, which in turn shape the nature of the discipline. In this paper, we examine the literature review practices of data scientists. Data science represents a field seeing an exponential rise in papers, and increasingly drawing on and being applied in numerous diverse disciplines. Recent efforts have seen the development of several tools intended to help data scientists cope with a deluge of research and coordinated efforts to develop AI tools intended to uncover the research frontier. Despite these trends indicative of the information overload faced by data scientists, no prior work has examined the specific practices and challenges faced by these scientists in an interdisciplinary field with evolving scholarly norms. In this paper, we close this gap through a set of semi-structured interviews and think-aloud protocols of industry and academic data scientists (N = 20). Our results while corroborating other knowledge workers' practices uncover several novel findings: individuals (1) are challenged in seeking and sensemaking of papers beyond their disciplinary bubbles, (2) struggle to understand papers in the face of missing details and mathematical content, (3) grapple with the deluge by leveraging the knowledge context in code, blogs, and talks, and (4) lean on their peers online and in-person. Furthermore, we outline future directions likely to help data scientists cope with the burgeoning research literature.




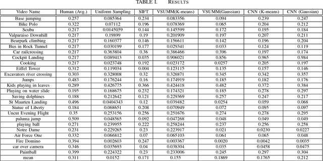
Abstract:Video is one of the robust sources of information and the consumption of online and offline videos has reached an unprecedented level in the last few years. A fundamental challenge of extracting information from videos is a viewer has to go through the complete video to understand the context, as opposed to an image where the viewer can extract information from a single frame. In this work, we attempt to employ different Algorithmic methodologies including local features and deep neural networks along with multiple clustering methods to find an effective way of summarizing a video by interesting keyframe extraction.