



Abstract:When 5G began its commercialisation journey around 2020, the discussion on the vision of 6G also surfaced. Researchers expect 6G to have higher bandwidth, coverage, reliability, energy efficiency, lower latency, and, more importantly, an integrated "human-centric" network system powered by artificial intelligence (AI). Such a 6G network will lead to an excessive number of automated decisions made every second. These decisions can range widely, from network resource allocation to collision avoidance for self-driving cars. However, the risk of losing control over decision-making may increase due to high-speed data-intensive AI decision-making beyond designers and users' comprehension. The promising explainable AI (XAI) methods can mitigate such risks by enhancing the transparency of the black box AI decision-making process. This survey paper highlights the need for XAI towards the upcoming 6G age in every aspect, including 6G technologies (e.g., intelligent radio, zero-touch network management) and 6G use cases (e.g., industry 5.0). Moreover, we summarised the lessons learned from the recent attempts and outlined important research challenges in applying XAI for building 6G systems. This research aligns with goals 9, 11, 16, and 17 of the United Nations Sustainable Development Goals (UN-SDG), promoting innovation and building infrastructure, sustainable and inclusive human settlement, advancing justice and strong institutions, and fostering partnership at the global level.




Abstract:Real-Time Bidding is nowadays one of the most promising systems in the online advertising ecosystem. In the presented study, the performance of RTB campaigns is improved by optimising the parameters of the users' profiles and the publishers' websites. Most studies about optimising RTB campaigns are focused on the bidding strategy. In contrast, the objective of our research consists of optimising RTB campaigns by finding out configurations that maximise both the number of impressions and their average profitability. The experiments demonstrate that, when the number of required visits by advertisers is low, it is easy to find configurations with high average profitability, but as the required number of visits increases, the average profitability tends to go down. Additionally, configuration optimisation has been combined with other interesting strategies to increase, even more, the campaigns' profitability. Along with parameter configuration the study considers the following complementary strategies to increase profitability: i) selecting multiple configurations with a small number of visits instead of a unique configuration with a large number, ii) discarding visits according to the thresholds of cost and profitability, iii) analysing a reduced space of the dataset and extrapolating the solution, and iv) increasing the search space by including solutions below the required number of visits. The developed campaign optimisation methodology could be offered by RTB platforms to advertisers to make their campaigns more profitable.




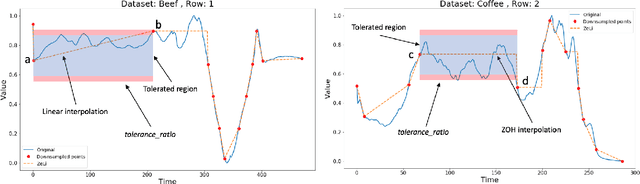
Abstract:Lebesgue sampling is based on collecting information depending on the values of the signal. Although the interpolation methods for periodic sampling have been a topic of research for a long time, there is a lack of study in methods capable of taking advantage of the Lebesgue sampling characteristics to reconstruct time series more accurately. Indeed, Lebesgue sampling contains additional information about the shape of the signal in-between two sampled points. Using this information would allow us to generate an interpolated signal closer to the original one. That is to say, the average distance between the interpolated signal and the original signal will be smaller than a signal interpolated with other interpolation methods. In this paper, we propose two novel time series interpolation methods specifically designed for Lebesgue sampling called ZeLiC and ZeChipC. ZeLiC is an algorithm that combines both Zero-order hold interpolation and Linear interpolation to reconstruct time series. ZeChipC is a similar idea, it is a combination of Zero-order hold and PCHIP interpolation. Zero-order hold interpolation is favourable for interpolating abrupt changes while Linear and PCHIP interpolation are more suitable for smooth transitions. In order to apply one method or the other, we have introduced a new concept called tolerated region. ZeLiC and ZeChipC include a new functionality to adapt the reconstructed signal to concave/convex regions. The proposed methods have been compared with the state-of-the-art interpolation methods using Lebesgue sampling and have offered higher average performance. Additionally, we have compared the performance of the methods using both Riemann and Lebesgue sampling using an approximate number of sampled points. The performance of the combination "Lebesgue sampling with ZeChipC interpolation method" is clearly much better than any other combination.




Abstract:We present an unsupervised explainable word embedding technique, called EVE, which is built upon the structure of Wikipedia. The proposed model defines the dimensions of a semantic vector representing a word using human-readable labels, thereby it readily interpretable. Specifically, each vector is constructed using the Wikipedia category graph structure together with the Wikipedia article link structure. To test the effectiveness of the proposed word embedding model, we consider its usefulness in three fundamental tasks: 1) intruder detection - to evaluate its ability to identify a non-coherent vector from a list of coherent vectors, 2) ability to cluster - to evaluate its tendency to group related vectors together while keeping unrelated vectors in separate clusters, and 3) sorting relevant items first - to evaluate its ability to rank vectors (items) relevant to the query in the top order of the result. For each task, we also propose a strategy to generate a task-specific human-interpretable explanation from the model. These demonstrate the overall effectiveness of the explainable embeddings generated by EVE. Finally, we compare EVE with the Word2Vec, FastText, and GloVe embedding techniques across the three tasks, and report improvements over the state-of-the-art.