

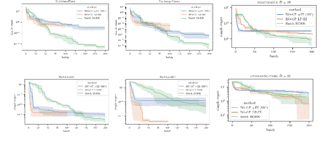
Abstract:Bayesian optimisation (BO) algorithms have shown remarkable success in applications involving expensive black-box functions. Traditionally BO has been set as a sequential decision-making process which estimates the utility of query points via an acquisition function and a prior over functions, such as a Gaussian process. Recently, however, a reformulation of BO via density-ratio estimation (BORE) allowed reinterpreting the acquisition function as a probabilistic binary classifier, removing the need for an explicit prior over functions and increasing scalability. In this paper, we present a theoretical analysis of BORE's regret and an extension of the algorithm with improved uncertainty estimates. We also show that BORE can be naturally extended to a batch optimisation setting by recasting the problem as approximate Bayesian inference. The resulting algorithm comes equipped with theoretical performance guarantees and is assessed against other batch BO baselines in a series of experiments.




Abstract:We propose a Bayesian approach to spectral graph convolutional networks (GCNs) where the graph parameters are considered as random variables. We develop an inference algorithm to estimate the posterior over these parameters and use it to incorporate prior information that is not naturally considered by standard GCN. The key to our approach is to define a smooth posterior parameterization over the adjacency matrix characterizing the graph, which we estimate via stochastic variational inference. Our experiments show that we can outperform standard GCN methods in the task of semi-supervised classification in noisy-graph regimes.