



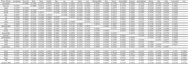
Abstract:Class activation map (CAM) highlights regions of classes based on classification network, which is widely used in weakly supervised tasks. However, it faces the problem that the class activation regions are usually small and local. Although several efforts paid to the second step (the CAM generation step) have partially enhanced the generation, we believe such problem is also caused by the first step (training step), because single classification model trained on the entire classes contains finite discriminate information that limits the object region extraction. To this end, this paper solves CAM generation by using multiple classification models. To form multiple classification networks that carry different discriminative information, we try to capture the semantic relationships between classes to form different semantic levels of classification models. Specifically, hierarchical clustering based on class relationships is used to form hierarchical clustering results, where the clustering levels are treated as semantic levels to form the classification models. Moreover, a new orthogonal module and a two-branch based CAM generation method are proposed to generate class regions that are orthogonal and complementary. We use the PASCAL VOC 2012 dataset to verify the proposed method. Experimental results show that our approach improves the CAM generation.




Abstract:Existing method generates class activation map (CAM) by a set of fixed classes (i.e., using all the classes), while the discriminative cues between class pairs are not considered. Note that activation maps by considering different class pair are complementary, and therefore can provide more discriminative cues to overcome the shortcoming of the existing CAM generation that the highlighted regions are usually local part regions rather than global object regions due to the lack of object cues. In this paper, we generate CAM by using a few of representative classes, with aim of extracting more discriminative cues by considering each class pair to obtain CAM more globally. The advantages are twofold. Firstly, the representative classes are able to obtain activation regions that are complementary to each other, and therefore leads to generating activation map more accurately. Secondly, we only need to consider a small number of representative classes, making the CAM generation suitable for small networks. We propose a clustering based method to select the representative classes. Multiple binary classification models rather than a multiple class classification model are used to generate the CAM. Moreover, we propose a multi-layer fusion based CAM generation method to simultaneously combine high-level semantic features and low-level detail features. We validate the proposed method on the PASCAL VOC and COCO database in terms of segmentation groundtruth. Various networks such as classical network (Resnet-50, Resent-101 and Resnet-152) and small network (VGG-19, Resnet-18 and Mobilenet) are considered. Experimental results show that the proposed method improves the CAM generation obviously.