Abstract:We consider a cell-free massive multiple-input multiple-output (MIMO) system with multiple antennas on the users and access points (APs). In previous works, the downlink spectral efficiency (SE) has been evaluated using the hardening bound that requires no downlink pilots. This approach works well for single-antenna users. In this paper, we show that much higher SEs can be achieved if downlink pilots are sent when having multi-antenna users. The reason is that the effective channel matrix does not harden. We propose a pilot-based downlink estimation scheme, derive a new SE expression, and show numerically that it yields substantially higher performance when having correlated Rayleigh fading channels. In cases with multi-antenna users, the APs can either transmit the same or different data streams. The latter reduces the fronthaul signaling but comes with a SE loss. We propose precoding and combining schemes for these cases and consider whether channel knowledge is shared between the APs. Finally, we show numerically how the number of users, APs, and the number of antennas on users and APs affect the SE.




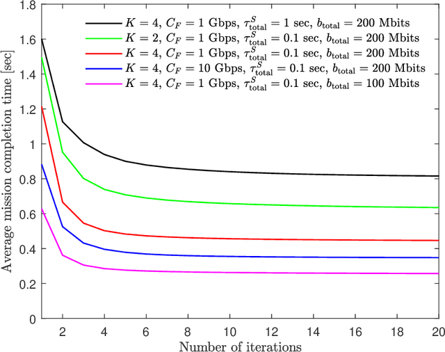
Abstract:This work investigates a collaborative sensing and data collection system in which multiple unmanned aerial vehicles (UAVs) sense an area of interest and transmit images to a cloud server (CS) for processing. To accelerate the completion of sensing missions, including data transmission, the sensing task is divided into individual private sensing tasks for each UAV and a common sensing task that is executed by all UAVs to enable cooperative transmission. Unlike existing studies, we explore the use of an advanced cell-free multiple-input multiple-output (MIMO) network, which effectively manages inter-UAV interference. To further optimize wireless channel utilization, we propose a hybrid transmission strategy that combines time-division multiple access (TDMA), non-orthogonal multiple access (NOMA), and cooperative transmission. The problem of jointly optimizing task splitting ratios and the hybrid TDMA-NOMA-cooperative transmission strategy is formulated with the objective of minimizing mission completion time. Extensive numerical results demonstrate the effectiveness of the proposed task allocation and hybrid transmission scheme in accelerating the completion of sensing missions.
Abstract:We consider a cell-free massive MIMO system with multiple antennas on the users and access points. In previous works, the downlink spectral efficiency (SE) has been evaluated using the hardening bound that requires no downlink pilots. This approach works well when having single-antenna users. In this paper, we show that much higher SEs can be achieved if downlink pilots are sent since the effective channel matrix does not harden when having multi-antenna users. We propose a pilot-based downlink estimation scheme and derive a new SE expression that utilizes zero-forcing combining. We show numerically how the number of users and user antennas affects the SE.




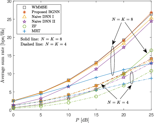
Abstract:Deep learning (DL) techniques have been intensively studied for the optimization of multi-user multiple-input single-output (MU-MISO) downlink systems owing to the capability of handling nonconvex formulations. However, the fixed computation structure of existing deep neural networks (DNNs) lacks flexibility with respect to the system size, i.e., the number of antennas or users. This paper develops a bipartite graph neural network (BGNN) framework, a scalable DL solution designed for multi-antenna beamforming optimization. The MU-MISO system is first characterized by a bipartite graph where two disjoint vertex sets, each of which consists of transmit antennas and users, are connected via pairwise edges. These vertex interconnection states are modeled by channel fading coefficients. Thus, a generic beamforming optimization process is interpreted as a computation task over a weight bipartite graph. This approach partitions the beamforming optimization procedure into multiple suboperations dedicated to individual antenna vertices and user vertices. Separated vertex operations lead to scalable beamforming calculations that are invariant to the system size. The vertex operations are realized by a group of DNN modules that collectively form the BGNN architecture. Identical DNNs are reused at all antennas and users so that the resultant learning structure becomes flexible to the network size. Component DNNs of the BGNN are trained jointly over numerous MU-MISO configurations with randomly varying network sizes. As a result, the trained BGNN can be universally applied to arbitrary MU-MISO systems. Numerical results validate the advantages of the BGNN framework over conventional methods.




Abstract:Fog radio access networks (F-RANs), which consist of a cloud and multiple edge nodes (ENs) connected via fronthaul links, have been regarded as promising network architectures. The F-RAN entails a joint optimization of cloud and edge computing as well as fronthaul interactions, which is challenging for traditional optimization techniques. This paper proposes a Cloud-Enabled Cooperation-Inspired Learning (CECIL) framework, a structural deep learning mechanism for handling a generic F-RAN optimization problem. The proposed solution mimics cloud-aided cooperative optimization policies by including centralized computing at the cloud, distributed decision at the ENs, and their uplink-downlink fronthaul interactions. A group of deep neural networks (DNNs) are employed for characterizing computations of the cloud and ENs. The forwardpass of the DNNs is carefully designed such that the impacts of the practical fronthaul links, such as channel noise and signling overheads, can be included in a training step. As a result, operations of the cloud and ENs can be jointly trained in an end-to-end manner, whereas their real-time inferences are carried out in a decentralized manner by means of the fronthaul coordination. To facilitate fronthaul cooperation among multiple ENs, the optimal fronthaul multiple access schemes are designed. Training algorithms robust to practical fronthaul impairments are also presented. Numerical results validate the effectiveness of the proposed approaches.




Abstract:This paper investigates a learning solution for robust beamforming optimization in downlink multi-user systems. A base station (BS) identifies efficient multi-antenna transmission strategies only with imperfect channel state information (CSI) and its stochastic features. To this end, we propose a robust training algorithm where a deep neural network (DNN), which only accepts estimates and statistical knowledge of the perfect CSI, is optimized to fit to real-world propagation environment. Consequently, the trained DNN can provide efficient robust beamforming solutions based only on imperfect observations of the actual CSI. Numerical results validate the advantages of the proposed learning approach compared to conventional schemes.



Abstract:This letter studies deep learning (DL) approaches to optimize beamforming vectors in downlink multi-user multi-antenna systems that can be universally applied to arbitrarily given transmit power limitation at a base station. We exploit the sum power budget as side information so that deep neural networks (DNNs) can effectively learn the impact of the power constraint in the beamforming optimization. Consequently, a single training process is sufficient for the proposed universal DL approach, whereas conventional methods need to train multiple DNNs for all possible power budget levels. Numerical results demonstrate the effectiveness of the proposed DL methods over existing schemes.