



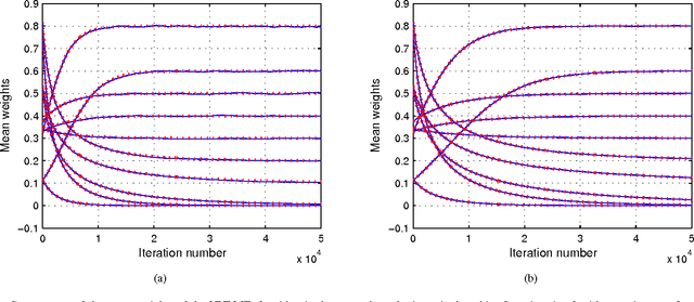
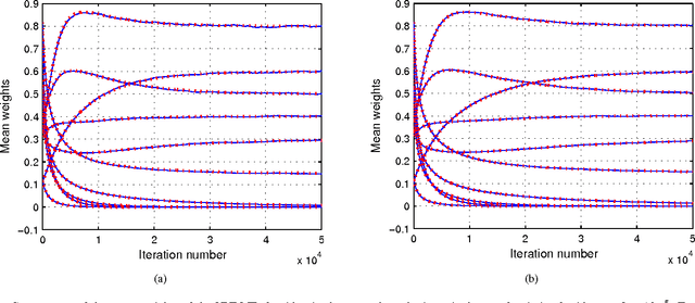
Abstract:Some system identification problems impose nonnegativity constraints on the parameters to estimate due to inherent physical characteristics of the unknown system. The nonnegative least-mean-square (NNLMS) algorithm and its variants allow to address this problem in an online manner. A nonnegative least mean fourth (NNLMF) algorithm has been recently proposed to improve the performance of these algorithms in cases where the measurement noise is not Gaussian. This paper provides a first theoretical analysis of the stochastic behavior of the NNLMF algorithm for stationary Gaussian inputs and slow learning. Simulation results illustrate the accuracy of the proposed analysis.


Abstract:Non-negative least-mean-square (NNLMS) algorithm and its variants have been proposed for online estimation under non-negativity constraints. The transient behavior of the NNLMS, Normalized NNLMS, Exponential NNLMS and Sign-Sign NNLMS algorithms have been studied in our previous work. In this technical report, we derive closed-form expressions for the steady-state excess mean-square error (EMSE) for the four algorithms. Simulations results illustrate the accuracy of the theoretical results. This is a complementary material to our previous work.