



Abstract:Endowed with higher levels of autonomy, robots are required to perform increasingly complex manipulation tasks. Learning from demonstration is arising as a promising paradigm for easily extending robot capabilities so that they adapt to unseen scenarios. We present a novel Gaussian-Process-based approach for learning manipulation skills from observations of a human teacher. This probabilistic representation allows to generalize over multiple demonstrations, and encode uncertainty variability along the different phases of the task. In this paper, we address how Gaussian Processes can be used to effectively learn a policy from trajectories in task space. We also present a method to efficiently adapt the policy to fulfill new requirements, and to modulate the robot behavior as a function of task uncertainty. This approach is illustrated through a real-world application using the TIAGo robot.




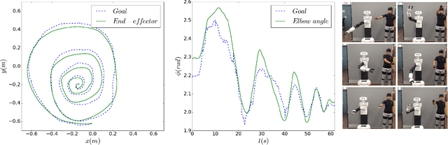
Abstract:Transferring human motion to a mobile robotic manipulator and ensuring safe physical human-robot interaction are crucial steps towards automating complex manipulation tasks in human-shared environments. In this work we present a robot whole-body teleoperation framework for human motion transfer. We propose a general solution to the correspondence problem: a mapping that defines an equivalence between the robot and observed human posture. For achieving real-time teleoperation and effective redundancy resolution, we make use of the whole-body paradigm with an adequate task hierarchy, and present a differential drive control algorithm to the wheeled robot base. To ensure safe physical human-robot interaction, we propose a variable admittance controller that stably adapts the dynamics of the end-effector to switch between stiff and compliant behaviors. We validate our approach through several experiments using the TIAGo robot. Results show effective real-time imitation and dynamic behavior adaptation. This could be an easy way for a non-expert to teach a rough manipulation skill to an assistive robot.